시간 제한메모리 제한제출정답맞힌 사람정답 비율
2 초 512 MB249826334.054%

문제

인도네시아에는 N 개의 도시가 있고, 0부터 N - 1까지 번호가 매겨져 있다. 또 M 개의 양방향 도로가 있는데, 0 부터 M - 1까지 번호가 매겨져 있다. 각 도로는 두 개의 서로 다른 도시를 연결한다. i 번 도로는 U[i] 번 도시와 V[i] 번 도시를 연결하고, 자동차로 여행하려면 휘발유 W[i] 만큼이 필요하다. 어떤 두 도시도 서로 오갈 수 있도록 도로망이 구축되어 있다.

앞으로 Q 일 동안, 매일매일 한 쌍의 도시가 자매 도시 관계를 맺으려고 한다. 구체적으로는, j번째 날, X[j] 번 도시는 Y[j] 번 도시와 자매 도시 관계를 맺으려고 한다. 이러려면, X[j] 번 도시는 대표단을 자동차를 이용해서 Y[j] 번 도시로 보낸다. 비슷하게, Y[j] 번 도시도 대표단을 자동차를 이용해서 X[j] 번 도시로 보낸다.  

혼잡을 막기 위해서, 두 자동차는 어느 순간에도 만나면 안된다. 보다 구체적으로는, 두 자동차가 동시에 같은 도시에 있으면 안된다. 또, 같은 도로를 동시에 서로 반대 방향으로 여행해도 안된다. 추가로, 어떤 도로를 여행하는 자동차는 이 도로를 끝까지 가서 목적지에 도착해야 한다. (다른 말로 하면, 도로 중간에서 유턴할 수 없다.) 그렇지만, 자동차는 같은 도시 또는 같은 도로를 한 번 이상 방문할 수 있다. 또, 자동차는 언제든지 어떤 도시에서든지 대기할 수 있다.   

연료 탱크가 큰 자동차는 비싸기 때문에, 두 도시는 사용할 두 자동차의 연료 탱크의 최대 용량을 최소화하는 경로를 택하고 싶다. 각각의 도시에는 무한히 많은 휘발유가 있는 주유소가 있기 때문에, 자동차가 필요한 연료 탱크의 최대 용량은 자동차가 이용할 모든 도로에서 최대로 필요한 휘발유의 양이다.  

할 일

다음 init와 getMinimumFuelCapacity 함수를 구현해야 한다.  

  • init(N, M, U, V, W) - 이 함수는  getMinimumFuelCapacity 함수를 호출하기 전에 정확히 한 번 호출된다.  
    • N: 도시의 수를 나타내는 정수.
    • M: 도로의 수를 나타내는 정수.  
    • U: 길이 M인 정수의 배열로 도로의 한 쪽 끝을 나타낸다. 
    • V: 길이 M인 정수의 배열로 도로의 다른 쪽 끝을 나타낸다. 
    • W: 길이 M인 정수의 배열로 각 도로를 여행하는데 필요한 휘발유의 양을 나타낸다.
  • getMinimumFuelCapacity(X, Y) - 이 함수는 그레이더가 정확히 Q 번 호출한다.  
    • X: 첫번째 도시를 나타내는 정수.  
    • Y: 두번째 도시를 나타내는 정수.
    • 이 함수는 X번 도시의 대표단이 Y번 도시로, Y번 도시의 대표단이 X번 도시로 위에서 설명한 규칙을 따라 여행할 때 두 자동차가 필요한 연료 탱크의 최대 용량의 최소값을 리턴한다.  만약 규칙을 따라 여행하는 것이 불가능하다면, -1을 리턴한다.  

예제

첫번째 예제에서, N = 5, M = 6, U = [0, 0, 1, 1, 1, 2], V = [1, 2, 2, 3, 4, 3], W = [4, 4, 1, 2, 10, 3], Q = 3, X = [1, 2, 0], Y = [2, 4, 1]이다. 이 예제는 다음 그림과 같다.

그레이더는 처음에 init(5, 6, [0, 0, 1, 1, 1, 2], [1, 2, 2, 3, 4, 3], [4, 4, 1, 2, 10, 3])를 호출한다. 그 후, 그레이더는 다음 일들을 한다.

  • getMinimumFuelCapacity(1, 2). 먼저, 1번 도시에서 출발한 자동차는 3번 도시로 이동한다. 다음, 2번 도시에서 출발한 자동차는 1번 도시로 이동하고, 3번 도시에 있던 자동차는 2번 도시로 이동한다. 따라서 두 자동차가 필요한 연료 용량의 최대값은 3이다. (3번 도시에서 2번 도시로 이동하는데 필요) 이보다 적은 연료 용량으로 갈 수 있는 경로가 없기 때문에, 이 함수의 리턴값은 3이어야 한다.
  • getMinimumFuelCapacity(2, 4). 4번 도시에서 오거나 4번 도시로 가는 자동차는 연료가 10만큼 필요하기 때문에, 이 함수의 리턴값은 10이어야 한다.
  • getMinimumFuelCapacity(0, 1). 이 함수는 4를 리턴해야 한다.

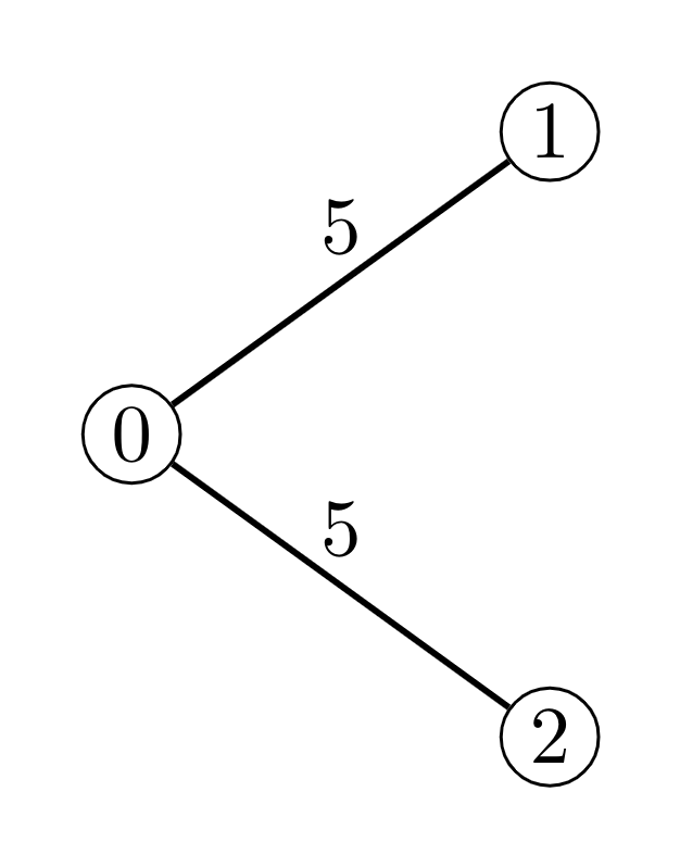
두번째 예제에서는, N = 3, M = 2, U = [0, 0], V = [1, 2], W = [5, 5], Q = 1, X = [1], Y = [2]이다. 이 예제는 다음 그림과 같다.

그레이더는 처음에 init(3, 2, [0, 0], [1, 2], [5, 5])를 호출한다. 그 후, 그레이더는 다음 일을 한다.  

  • getMinimumFuelCapacity(1, 2). 자동차가 1번 도시에서 2번 도시로 이동하는 과정에서 다른 자동차를 만나지 않는 것은 불가능하기 때문에, 이 함수는 -1을 리턴해야 한다.

제한

  • 2 ≤ N ≤ 100000.
  • N − 1 ≤ M ≤ 200000.
  • 0 ≤ U[i] < V[i] < N.
  • 두 도시를 잇는 도로는 최대 1개이다.  
  • 어떤 두 도시도 하나 또는 둘 이상의 도로를 이용하여 오갈 수 있다.  
  • 1 ≤ W[i] ≤ 109.
  • 1 ≤ Q ≤ 200000.
  • 0 ≤ X[j] < Y[j] < N.

서브태스크 1 (6점)

  • 각 도시는 최대 2개의 도로의 끝점이다.

서브태스크 2 (7점)

  • M = N − 1.
  • U[i] = 0.

서브태스크 3 (17점)

  • Q ≤ 5.
  • N ≤ 1000.
  • M ≤ 2000.

서브태스크 4 (20점)

  • Q ≤ 5.

서브태스크 5 (23점)

  • M = N - 1.

서브태스크 6 (27점)

  • 추가적인 제약 조건이 없다.
W3sicHJvYmxlbV9pZCI6IjE5NjE5IiwicHJvYmxlbV9sYW5nIjoiMCIsInRpdGxlIjoiXHVjNzkwXHViOWU0IFx1YjNjNFx1YzJkYyIsImRlc2NyaXB0aW9uIjoiPHA+XHVjNzc4XHViM2M0XHViMTI0XHVjMmRjXHVjNTQ0XHVjNWQwXHViMjk0Jm5ic3A7PGVtPk48XC9lbT4gXHVhYzFjXHVjNzU4IFx1YjNjNFx1YzJkY1x1YWMwMCBcdWM3ODhcdWFjZTAsIDBcdWJkODBcdWQxMzAmbmJzcDs8ZW0+TjxcL2VtPiAtIDFcdWFlNGNcdWM5YzAgXHViYzg4XHVkNjM4XHVhYzAwIFx1YjllNFx1YWNhOFx1YzgzOCBcdWM3ODhcdWIyZTQuIFx1YjYxMCZuYnNwOzxlbT5NPFwvZW0+IFx1YWMxY1x1Yzc1OCBcdWM1OTFcdWJjMjlcdWQ1YTUgXHViM2M0XHViODVjXHVhYzAwIFx1Yzc4OFx1YjI5NFx1YjM3MCwmbmJzcDswIFx1YmQ4MFx1ZDEzMCZuYnNwOzxlbT5NPFwvZW0+IC0gMVx1YWU0Y1x1YzljMCBcdWJjODhcdWQ2MzhcdWFjMDAgXHViOWU0XHVhY2E4XHVjODM4IFx1Yzc4OFx1YjJlNC4gXHVhYzAxIFx1YjNjNFx1Yjg1Y1x1YjI5NCBcdWI0NTAgXHVhYzFjXHVjNzU4IFx1YzExY1x1Yjg1YyBcdWIyZTRcdWI5NzggXHViM2M0XHVjMmRjXHViOTdjIFx1YzVmMFx1YWNiMFx1ZDU1Y1x1YjJlNC4mbmJzcDs8ZW0+aTxcL2VtPiBcdWJjODggXHViM2M0XHViODVjXHViMjk0Jm5ic3A7PGVtPlU8XC9lbT5bPGVtPmk8XC9lbT5dIFx1YmM4OCBcdWIzYzRcdWMyZGNcdWM2NDAmbmJzcDs8ZW0+VjxcL2VtPls8ZW0+aTxcL2VtPl0gXHViYzg4IFx1YjNjNFx1YzJkY1x1Yjk3YyBcdWM1ZjBcdWFjYjBcdWQ1NThcdWFjZTAsIFx1Yzc5MFx1YjNkOVx1Y2MyOFx1Yjg1YyBcdWM1ZWNcdWQ1ODlcdWQ1NThcdWI4MjRcdWJhNzQgXHVkNzE4XHViYzFjXHVjNzIwJm5ic3A7PGVtPlc8XC9lbT5bPGVtPmk8XC9lbT5dIFx1YjljY1x1ZDA3Y1x1Yzc3NCBcdWQ1NDRcdWM2OTRcdWQ1NThcdWIyZTQuIFx1YzViNFx1YjVhNCBcdWI0NTAgXHViM2M0XHVjMmRjXHViM2M0IFx1YzExY1x1Yjg1YyBcdWM2MjRcdWFjMDgmbmJzcDtcdWMyMTggXHVjNzg4XHViM2M0XHViODVkIFx1YjNjNFx1Yjg1Y1x1YjlkZFx1Yzc3NCBcdWFkNmNcdWNkOTVcdWI0MThcdWM1YjQgXHVjNzg4XHViMmU0LjxcL3A+XHJcblxyXG48cD5cdWM1NWVcdWM3M2NcdWI4NWMmbmJzcDs8ZW0+UTxcL2VtPiZuYnNwO1x1Yzc3YyBcdWIzZDlcdWM1NDgsIFx1YjllNFx1Yzc3Y1x1YjllNFx1Yzc3YyBcdWQ1NWMgXHVjMzBkXHVjNzU4IFx1YjNjNFx1YzJkY1x1YWMwMCBcdWM3OTBcdWI5ZTQgXHViM2M0XHVjMmRjJm5ic3A7XHVhZDAwXHVhY2M0XHViOTdjIFx1YjlmYVx1YzczY1x1YjgyNFx1YWNlMCBcdWQ1NWNcdWIyZTQuIFx1YWQ2Y1x1Y2NiNFx1YzgwMVx1YzczY1x1Yjg1Y1x1YjI5NCwmbmJzcDs8ZW0+ajxcL2VtPlx1YmM4OFx1YzlmOCBcdWIwYTAsJm5ic3A7PGVtPlg8XC9lbT5bPGVtPmo8XC9lbT5dIFx1YmM4OCBcdWIzYzRcdWMyZGNcdWIyOTQmbmJzcDs8ZW0+WTxcL2VtPls8ZW0+ajxcL2VtPl0gXHViYzg4IFx1YjNjNFx1YzJkY1x1YzY0MCBcdWM3OTBcdWI5ZTQgXHViM2M0XHVjMmRjIFx1YWQwMFx1YWNjNFx1Yjk3YyBcdWI5ZmFcdWM3M2NcdWI4MjRcdWFjZTAgXHVkNTVjXHViMmU0LiBcdWM3NzRcdWI3ZWNcdWI4MjRcdWJhNzQsJm5ic3A7PGVtPlg8XC9lbT5bPGVtPmo8XC9lbT5dIFx1YmM4OCBcdWIzYzRcdWMyZGNcdWIyOTQgXHViMzAwXHVkNDVjXHViMmU4XHVjNzQ0IFx1Yzc5MFx1YjNkOVx1Y2MyOFx1Yjk3YyBcdWM3NzRcdWM2YTlcdWQ1NzRcdWMxMWMmbmJzcDs8ZW0+WTxcL2VtPls8ZW0+ajxcL2VtPl0gXHViYzg4IFx1YjNjNFx1YzJkY1x1Yjg1YyBcdWJjZjRcdWIwYjhcdWIyZTQuIFx1YmU0NFx1YzJiN1x1ZDU1OFx1YWM4YywmbmJzcDs8ZW0+WTxcL2VtPls8ZW0+ajxcL2VtPl0mbmJzcDtcdWJjODggXHViM2M0XHVjMmRjXHViM2M0IFx1YjMwMFx1ZDQ1Y1x1YjJlOFx1Yzc0NCBcdWM3OTBcdWIzZDlcdWNjMjhcdWI5N2MgXHVjNzc0XHVjNmE5XHVkNTc0XHVjMTFjJm5ic3A7PGVtPlg8XC9lbT5bPGVtPmo8XC9lbT5dIFx1YmM4OCBcdWIzYzRcdWMyZGNcdWI4NWMgXHViY2Y0XHViMGI4XHViMmU0LiZuYnNwOyZuYnNwOzxcL3A+XHJcblxyXG48cD5cdWQ2M2NcdWM3YTFcdWM3NDQgXHViOWM5XHVhZTMwIFx1YzcwNFx1ZDU3NFx1YzExYywgXHViNDUwIFx1Yzc5MFx1YjNkOVx1Y2MyOFx1YjI5NCBcdWM1YjRcdWIyOTAgXHVjMjFjXHVhYzA0XHVjNWQwXHViM2M0IFx1YjljY1x1YjA5OFx1YmE3NCBcdWM1NDhcdWI0MWNcdWIyZTQuIFx1YmNmNFx1YjJlNCBcdWFkNmNcdWNjYjRcdWM4MDFcdWM3M2NcdWI4NWNcdWIyOTQsIFx1YjQ1MCBcdWM3OTBcdWIzZDlcdWNjMjhcdWFjMDAgXHViM2Q5XHVjMmRjXHVjNWQwIFx1YWMxOVx1Yzc0MCBcdWIzYzRcdWMyZGNcdWM1ZDAgXHVjNzg4XHVjNzNjXHViYTc0IFx1YzU0OFx1YjQxY1x1YjJlNC4gXHViNjEwLCBcdWFjMTlcdWM3NDAgXHViM2M0XHViODVjXHViOTdjIFx1YjNkOVx1YzJkY1x1YzVkMCBcdWMxMWNcdWI4NWMgXHViYzE4XHViMzAwIFx1YmMyOVx1ZDVhNVx1YzczY1x1Yjg1YyBcdWM1ZWNcdWQ1ODlcdWQ1NzRcdWIzYzQgXHVjNTQ4XHViNDFjXHViMmU0LiBcdWNkOTRcdWFjMDBcdWI4NWMsIFx1YzViNFx1YjVhNCBcdWIzYzRcdWI4NWNcdWI5N2MgXHVjNWVjXHVkNTg5XHVkNTU4XHViMjk0IFx1Yzc5MFx1YjNkOVx1Y2MyOFx1YjI5NCBcdWM3NzQgXHViM2M0XHViODVjXHViOTdjIFx1YjA1ZFx1YWU0Y1x1YzljMCBcdWFjMDBcdWMxMWMgXHViYWE5XHVjODAxXHVjOWMwXHVjNWQwIFx1YjNjNFx1Y2MyOVx1ZDU3NFx1YzU3YyBcdWQ1NWNcdWIyZTQuIChcdWIyZTRcdWI5NzggXHViOWQwXHViODVjIFx1ZDU1OFx1YmE3NCwgXHViM2M0XHViODVjIFx1YzkxMVx1YWMwNFx1YzVkMFx1YzExYyBcdWM3MjBcdWQxMzRcdWQ1NjAgXHVjMjE4IFx1YzVjNlx1YjJlNC4pIFx1YWRmOFx1YjgwN1x1YzljMFx1YjljYywgXHVjNzkwXHViM2Q5XHVjYzI4XHViMjk0IFx1YWMxOVx1Yzc0MCBcdWIzYzRcdWMyZGMgXHViNjEwXHViMjk0IFx1YWMxOVx1Yzc0MCBcdWIzYzRcdWI4NWNcdWI5N2MgXHVkNTVjIFx1YmM4OCBcdWM3NzRcdWMwYzEgXHViYzI5XHViYjM4XHVkNTYwIFx1YzIxOCBcdWM3ODhcdWIyZTQuIFx1YjYxMCwgXHVjNzkwXHViM2Q5XHVjYzI4XHViMjk0IFx1YzViOFx1YzgxY1x1YjRlMFx1YzljMCBcdWM1YjRcdWI1YTQgXHViM2M0XHVjMmRjXHVjNWQwXHVjMTFjXHViNGUwXHVjOWMwJm5ic3A7XHViMzAwXHVhZTMwXHVkNTYwIFx1YzIxOCBcdWM3ODhcdWIyZTQuJm5ic3A7Jm5ic3A7Jm5ic3A7PFwvcD5cclxuXHJcbjxwPlx1YzVmMFx1YjhjYyBcdWQwZjFcdWQwNmNcdWFjMDAgXHVkMDcwIFx1Yzc5MFx1YjNkOVx1Y2MyOFx1YjI5NCZuYnNwO1x1YmU0NFx1YzJmOFx1YWUzMCBcdWI1NGNcdWJiMzhcdWM1ZDAsIFx1YjQ1MCBcdWIzYzRcdWMyZGNcdWIyOTQgXHVjMGFjXHVjNmE5XHVkNTYwIFx1YjQ1MCBcdWM3OTBcdWIzZDlcdWNjMjhcdWM3NTggXHVjNWYwXHViOGNjIFx1ZDBmMVx1ZDA2Y1x1Yzc1OCBcdWNkNWNcdWIzMDAgXHVjNmE5XHViN2M5XHVjNzQ0IFx1Y2Q1Y1x1YzE4Y1x1ZDY1NFx1ZDU1OFx1YjI5NCBcdWFjYmRcdWI4NWNcdWI5N2MgXHVkMGRkXHVkNTU4XHVhY2UwIFx1YzJmNlx1YjJlNC4gXHVhYzAxXHVhYzAxXHVjNzU4IFx1YjNjNFx1YzJkY1x1YzVkMFx1YjI5NCBcdWJiMzRcdWQ1NWNcdWQ3ODggXHViOWNlXHVjNzQwIFx1ZDcxOFx1YmMxY1x1YzcyMFx1YWMwMCBcdWM3ODhcdWIyOTQgXHVjOGZjXHVjNzIwXHVjMThjXHVhYzAwIFx1Yzc4OFx1YWUzMCBcdWI1NGNcdWJiMzhcdWM1ZDAsIFx1Yzc5MFx1YjNkOVx1Y2MyOFx1YWMwMCBcdWQ1NDRcdWM2OTRcdWQ1NWMmbmJzcDtcdWM1ZjBcdWI4Y2MgXHVkMGYxXHVkMDZjXHVjNzU4IFx1Y2Q1Y1x1YjMwMCBcdWM2YTlcdWI3YzlcdWM3NDAgXHVjNzkwXHViM2Q5XHVjYzI4XHVhYzAwIFx1Yzc3NFx1YzZhOVx1ZDU2MCBcdWJhYThcdWI0ZTAgXHViM2M0XHViODVjXHVjNWQwXHVjMTFjJm5ic3A7PHN0cm9uZz5cdWNkNWNcdWIzMDA8XC9zdHJvbmc+XHViODVjIFx1ZDU0NFx1YzY5NFx1ZDU1YyBcdWQ3MThcdWJjMWNcdWM3MjBcdWM3NTggXHVjNTkxXHVjNzc0XHViMmU0LiZuYnNwOyZuYnNwOzxcL3A+XHJcbiIsImlucHV0IjoiIiwib3V0cHV0IjoiIiwiaGludCI6IiIsIm9yaWdpbmFsIjoiMSIsImh0bWxfdGl0bGUiOiIwIiwicHJvYmxlbV9sYW5nX3Rjb2RlIjoiS29yZWFuIiwibGltaXQiOiI8dWw+XHJcblx0PGxpPjIgJmxlOyA8ZW0+TjxcL2VtPiAmbGU7IDEwMDAwMC48XC9saT5cclxuXHQ8bGk+PGVtPk48XC9lbT4gJm1pbnVzOyAxICZsZTsgPGVtPk08XC9lbT4gJmxlOyAyMDAwMDAuPFwvbGk+XHJcblx0PGxpPjAgJmxlOyA8ZW0+VTxcL2VtPls8ZW0+aTxcL2VtPl0gJmx0OyA8ZW0+VjxcL2VtPls8ZW0+aTxcL2VtPl0gJmx0OyA8ZW0+TjxcL2VtPi48XC9saT5cclxuXHQ8bGk+XHViNDUwIFx1YjNjNFx1YzJkY1x1Yjk3YyBcdWM3ODdcdWIyOTQgXHViM2M0XHViODVjXHViMjk0IFx1Y2Q1Y1x1YjMwMCAxXHVhYzFjXHVjNzc0XHViMmU0LiZuYnNwOyZuYnNwOzxcL2xpPlxyXG5cdDxsaT5cdWM1YjRcdWI1YTQgXHViNDUwIFx1YjNjNFx1YzJkY1x1YjNjNCBcdWQ1NThcdWIwOTggXHViNjEwXHViMjk0IFx1YjQ1OCBcdWM3NzRcdWMwYzFcdWM3NTggXHViM2M0XHViODVjXHViOTdjIFx1Yzc3NFx1YzZhOVx1ZDU1OFx1YzVlYyBcdWM2MjRcdWFjMDggXHVjMjE4IFx1Yzc4OFx1YjJlNC4mbmJzcDsmbmJzcDs8XC9saT5cclxuXHQ8bGk+MSAmbGU7IDxlbT5XPFwvZW0+WzxlbT5pPFwvZW0+XSAmbGU7IDEwPHN1cD45PFwvc3VwPi48XC9saT5cclxuXHQ8bGk+MSAmbGU7IDxlbT5RPFwvZW0+ICZsZTsgMjAwMDAwLjxcL2xpPlxyXG5cdDxsaT4wICZsZTsgPGVtPlg8XC9lbT5bPGVtPmo8XC9lbT5dICZsdDsgPGVtPlk8XC9lbT5bPGVtPmo8XC9lbT5dICZsdDsgTi48XC9saT5cclxuPFwvdWw+XHJcbiIsInN1YnRhc2sxIjoiPHVsPlxyXG5cdDxsaT5cdWFjMDEgXHViM2M0XHVjMmRjXHViMjk0IFx1Y2Q1Y1x1YjMwMCAyXHVhYzFjXHVjNzU4IFx1YjNjNFx1Yjg1Y1x1Yzc1OCBcdWIwNWRcdWM4MTBcdWM3NzRcdWIyZTQuPFwvbGk+XHJcbjxcL3VsPlxyXG4iLCJzdWJ0YXNrMiI6Ijx1bD5cclxuXHQ8bGk+PGVtPk08XC9lbT4gPSA8ZW0+TjxcL2VtPiZuYnNwOyZtaW51czsgMS48XC9saT5cclxuXHQ8bGk+PGVtPlU8XC9lbT5bPGVtPmk8XC9lbT5dID0gMC48XC9saT5cclxuPFwvdWw+XHJcbiIsInN1YnRhc2szIjoiPHVsPlxyXG5cdDxsaT48ZW0+UTxcL2VtPiAmbGU7IDUuPFwvbGk+XHJcblx0PGxpPjxlbT5OPFwvZW0+Jm5ic3A7JmxlOyAxMDAwLjxcL2xpPlxyXG5cdDxsaT48ZW0+TTxcL2VtPiAmbGU7IDIwMDAuPFwvbGk+XHJcbjxcL3VsPlxyXG4iLCJzdWJ0YXNrNCI6Ijx1bD5cclxuXHQ8bGk+PGVtPlE8XC9lbT4gJmxlOyA1LjxcL2xpPlxyXG48XC91bD5cclxuIiwic3VidGFzazUiOiI8dWw+XHJcblx0PGxpPjxlbT5NPFwvZW0+ID0gPGVtPk48XC9lbT4gLSAxLjxcL2xpPlxyXG48XC91bD5cclxuIiwic3VidGFzazYiOiI8dWw+XHJcblx0PGxpPlx1Y2Q5NFx1YWMwMFx1YzgwMVx1Yzc3OCBcdWM4MWNcdWM1N2QgXHVjODcwXHVhYzc0XHVjNzc0IFx1YzVjNlx1YjJlNC48XC9saT5cclxuPFwvdWw+XHJcbiIsImN1c3RvbV90YXNrIjoiPHA+XHViMmU0XHVjNzRjJm5ic3A7PGNvZGU+aW5pdDxcL2NvZGU+XHVjNjQwJm5ic3A7PGNvZGU+Z2V0TWluaW11bUZ1ZWxDYXBhY2l0eTxcL2NvZGU+Jm5ic3A7XHVkNTY4XHVjMjE4XHViOTdjIFx1YWQ2Y1x1ZDYwNFx1ZDU3NFx1YzU3YyBcdWQ1NWNcdWIyZTQuJm5ic3A7Jm5ic3A7PFwvcD5cclxuXHJcbjx1bD5cclxuXHQ8bGk+PGNvZGU+aW5pdChOLCBNLCBVLCBWLCBXKTxcL2NvZGU+Jm5ic3A7LSBcdWM3NzQgXHVkNTY4XHVjMjE4XHViMjk0Jm5ic3A7Jm5ic3A7PGNvZGU+Z2V0TWluaW11bUZ1ZWxDYXBhY2l0eSZuYnNwOzxcL2NvZGU+XHVkNTY4XHVjMjE4XHViOTdjIFx1ZDYzOFx1Y2Q5Y1x1ZDU1OFx1YWUzMCBcdWM4MDRcdWM1ZDAgXHVjODE1XHVkNjU1XHVkNzg4IFx1ZDU1YyBcdWJjODggXHVkNjM4XHVjZDljXHViNDFjXHViMmU0LiZuYnNwOyZuYnNwO1xyXG5cclxuXHQ8dWw+XHJcblx0XHQ8bGk+PGVtPk48XC9lbT46IFx1YjNjNFx1YzJkY1x1Yzc1OCBcdWMyMThcdWI5N2MgXHViMDk4XHVkMGMwXHViMGI0XHViMjk0IFx1YzgxNVx1YzIxOC48XC9saT5cclxuXHRcdDxsaT48ZW0+TTxcL2VtPjogXHViM2M0XHViODVjXHVjNzU4IFx1YzIxOFx1Yjk3YyBcdWIwOThcdWQwYzBcdWIwYjRcdWIyOTQgXHVjODE1XHVjMjE4LiZuYnNwOyZuYnNwOzxcL2xpPlxyXG5cdFx0PGxpPjxlbT5VPFwvZW0+OiBcdWFlMzhcdWM3NzQmbmJzcDs8ZW0+TTxcL2VtPlx1Yzc3OCBcdWM4MTVcdWMyMThcdWM3NTggXHViYzMwXHVjNWY0XHViODVjIFx1YjNjNFx1Yjg1Y1x1Yzc1OCBcdWQ1NWMgXHVjYWJkIFx1YjA1ZFx1Yzc0NCBcdWIwOThcdWQwYzBcdWIwYjhcdWIyZTQuJm5ic3A7PFwvbGk+XHJcblx0XHQ8bGk+PGVtPlY8XC9lbT46IFx1YWUzOFx1Yzc3NCZuYnNwOzxlbT5NPFwvZW0+XHVjNzc4IFx1YzgxNVx1YzIxOFx1Yzc1OCBcdWJjMzBcdWM1ZjRcdWI4NWMgXHViM2M0XHViODVjXHVjNzU4IFx1YjJlNFx1Yjk3OCZuYnNwO1x1Y2FiZCBcdWIwNWRcdWM3NDQgXHViMDk4XHVkMGMwXHViMGI4XHViMmU0LiZuYnNwOzxcL2xpPlxyXG5cdFx0PGxpPjxlbT5XPFwvZW0+OiBcdWFlMzhcdWM3NzQgPGVtPk08XC9lbT5cdWM3NzggXHVjODE1XHVjMjE4XHVjNzU4IFx1YmMzMFx1YzVmNFx1Yjg1YyBcdWFjMDEgXHViM2M0XHViODVjXHViOTdjIFx1YzVlY1x1ZDU4OVx1ZDU1OFx1YjI5NFx1YjM3MCBcdWQ1NDRcdWM2OTRcdWQ1NWMgXHVkNzE4XHViYzFjXHVjNzIwXHVjNzU4IFx1YzU5MVx1Yzc0NCBcdWIwOThcdWQwYzBcdWIwYjhcdWIyZTQuPFwvbGk+XHJcblx0PFwvdWw+XHJcblx0PFwvbGk+XHJcblx0PGxpPjxjb2RlPmdldE1pbmltdW1GdWVsQ2FwYWNpdHkoWCwgWSk8XC9jb2RlPiZuYnNwOy0gXHVjNzc0IFx1ZDU2OFx1YzIxOFx1YjI5NCBcdWFkZjhcdWI4MDhcdWM3NzRcdWIzNTRcdWFjMDAgXHVjODE1XHVkNjU1XHVkNzg4Jm5ic3A7PGVtPlE8XC9lbT4gXHViYzg4IFx1ZDYzOFx1Y2Q5Y1x1ZDU1Y1x1YjJlNC4mbmJzcDsmbmJzcDtcclxuXHQ8dWw+XHJcblx0XHQ8bGk+PGVtPlg8XC9lbT46IFx1Y2NhYlx1YmM4OFx1YzlmOCBcdWIzYzRcdWMyZGNcdWI5N2MgXHViMDk4XHVkMGMwXHViMGI0XHViMjk0IFx1YzgxNVx1YzIxOC4mbmJzcDsmbmJzcDs8XC9saT5cclxuXHRcdDxsaT48ZW0+WTxcL2VtPjogXHViNDUwXHViYzg4XHVjOWY4IFx1YjNjNFx1YzJkY1x1Yjk3YyBcdWIwOThcdWQwYzBcdWIwYjRcdWIyOTQgXHVjODE1XHVjMjE4LjxcL2xpPlxyXG5cdFx0PGxpPlx1Yzc3NCBcdWQ1NjhcdWMyMThcdWIyOTQmbmJzcDs8ZW0+WDxcL2VtPlx1YmM4OCBcdWIzYzRcdWMyZGNcdWM3NTggXHViMzAwXHVkNDVjXHViMmU4XHVjNzc0IDxlbT5ZPFwvZW0+XHViYzg4IFx1YjNjNFx1YzJkY1x1Yjg1YywgPGVtPlk8XC9lbT5cdWJjODggXHViM2M0XHVjMmRjXHVjNzU4IFx1YjMwMFx1ZDQ1Y1x1YjJlOFx1Yzc3NCA8ZW0+WDxcL2VtPlx1YmM4OCBcdWIzYzRcdWMyZGNcdWI4NWMgXHVjNzA0XHVjNWQwXHVjMTFjIFx1YzEyNFx1YmE4NVx1ZDU1YyBcdWFkZGNcdWNlNTlcdWM3NDQgXHViNTMwXHViNzdjIFx1YzVlY1x1ZDU4OVx1ZDU2MCBcdWI1NGMgXHViNDUwIFx1Yzc5MFx1YjNkOVx1Y2MyOFx1YWMwMCBcdWQ1NDRcdWM2OTRcdWQ1NWMmbmJzcDtcdWM1ZjBcdWI4Y2MgXHVkMGYxXHVkMDZjXHVjNzU4IFx1Y2Q1Y1x1YjMwMCBcdWM2YTlcdWI3YzlcdWM3NTggXHVjZDVjXHVjMThjXHVhYzEyXHVjNzQ0IFx1YjlhY1x1ZDEzNFx1ZDU1Y1x1YjJlNC4mbmJzcDsmbmJzcDtcdWI5Y2NcdWM1N2QgXHVhZGRjXHVjZTU5XHVjNzQ0IFx1YjUzMFx1Yjc3YyBcdWM1ZWNcdWQ1ODlcdWQ1NThcdWIyOTQgXHVhYzgzXHVjNzc0IFx1YmQ4OFx1YWMwMFx1YjJhNVx1ZDU1OFx1YjJlNFx1YmE3NCwmbmJzcDstMVx1Yzc0NCBcdWI5YWNcdWQxMzRcdWQ1NWNcdWIyZTQuJm5ic3A7Jm5ic3A7PFwvbGk+XHJcblx0PFwvdWw+XHJcblx0PFwvbGk+XHJcbjxcL3VsPlxyXG4iLCJjdXN0b21fZXhhbXBsZSI6IjxwPlx1Y2NhYlx1YmM4OFx1YzlmOCBcdWM2MDhcdWM4MWNcdWM1ZDBcdWMxMWMsJm5ic3A7PGVtPk48XC9lbT4gPSA1LCZuYnNwOzxlbT5NPFwvZW0+ID0gNiwmbmJzcDs8ZW0+VTxcL2VtPiA9IFswLCAwLCAxLCAxLCAxLCAyXSwmbmJzcDs8ZW0+VjxcL2VtPiA9IFsxLCAyLCAyLCAzLCA0LCAzXSwgPGVtPlc8XC9lbT4gPSBbNCwgNCwgMSwgMiwgMTAsIDNdLCZuYnNwOzxlbT5RPFwvZW0+ID0gMywmbmJzcDs8ZW0+WDxcL2VtPiA9IFsxLCAyLCAwXSwmbmJzcDs8ZW0+WTxcL2VtPiA9IFsyLCA0LCAxXVx1Yzc3NFx1YjJlNC4gXHVjNzc0IFx1YzYwOFx1YzgxY1x1YjI5NCBcdWIyZTRcdWM3NGMgXHVhZGY4XHViOWJjXHVhY2ZjIFx1YWMxOVx1YjJlNC48XC9wPlxyXG5cclxuPHAgc3R5bGU9XCJ0ZXh0LWFsaWduOiBjZW50ZXI7XCI+PGltZyBhbHQ9XCJcIiBzcmM9XCJodHRwczpcL1wvdXBsb2FkLmFjbWljcGMubmV0XC9iMmQ5YzMwNC1jNDJkLTQ2MzAtYjEwYi0yYzcxZWY5OWI2MWRcLy1cL3ByZXZpZXdcL1wiIHN0eWxlPVwid2lkdGg6IDI2OHB4OyBoZWlnaHQ6IDIwMHB4O1wiIFwvPjxcL3A+XHJcblxyXG48cD5cdWFkZjhcdWI4MDhcdWM3NzRcdWIzNTRcdWIyOTQgXHVjYzk4XHVjNzRjXHVjNWQwJm5ic3A7PGNvZGU+aW5pdCg1LCA2LCBbMCwgMCwgMSwgMSwgMSwgMl0sIFsxLCAyLCAyLCAzLCA0LCAzXSwgWzQsIDQsIDEsIDIsIDEwLCAzXSk8XC9jb2RlPlx1Yjk3YyBcdWQ2MzhcdWNkOWNcdWQ1NWNcdWIyZTQuIFx1YWRmOCBcdWQ2YzQsIFx1YWRmOFx1YjgwOFx1Yzc3NFx1YjM1NFx1YjI5NCBcdWIyZTRcdWM3NGMgXHVjNzdjXHViNGU0XHVjNzQ0IFx1ZDU1Y1x1YjJlNC48XC9wPlxyXG5cclxuPHVsPlxyXG5cdDxsaT48Y29kZT5nZXRNaW5pbXVtRnVlbENhcGFjaXR5KDEsIDIpPFwvY29kZT4uIFx1YmEzY1x1YzgwMCwgMVx1YmM4OCBcdWIzYzRcdWMyZGNcdWM1ZDBcdWMxMWMgXHVjZDljXHViYzFjXHVkNTVjIFx1Yzc5MFx1YjNkOVx1Y2MyOFx1YjI5NCAzXHViYzg4IFx1YjNjNFx1YzJkY1x1Yjg1YyBcdWM3NzRcdWIzZDlcdWQ1NWNcdWIyZTQuIFx1YjJlNFx1Yzc0YywgMlx1YmM4OCBcdWIzYzRcdWMyZGNcdWM1ZDBcdWMxMWMgXHVjZDljXHViYzFjXHVkNTVjIFx1Yzc5MFx1YjNkOVx1Y2MyOFx1YjI5NCAxXHViYzg4IFx1YjNjNFx1YzJkY1x1Yjg1YyBcdWM3NzRcdWIzZDlcdWQ1NThcdWFjZTAsIDNcdWJjODggXHViM2M0XHVjMmRjXHVjNWQwIFx1Yzc4OFx1YjM1OCBcdWM3OTBcdWIzZDlcdWNjMjhcdWIyOTQgMlx1YmM4OCBcdWIzYzRcdWMyZGNcdWI4NWMgXHVjNzc0XHViM2Q5XHVkNTVjXHViMmU0LiBcdWI1MzBcdWI3N2NcdWMxMWMgXHViNDUwIFx1Yzc5MFx1YjNkOVx1Y2MyOFx1YWMwMCBcdWQ1NDRcdWM2OTRcdWQ1NWMgXHVjNWYwXHViOGNjIFx1YzZhOVx1YjdjOVx1Yzc1OCBcdWNkNWNcdWIzMDBcdWFjMTJcdWM3NDAmbmJzcDszXHVjNzc0XHViMmU0LiZuYnNwOygzXHViYzg4IFx1YjNjNFx1YzJkY1x1YzVkMFx1YzExYyAyXHViYzg4IFx1YjNjNFx1YzJkY1x1Yjg1YyBcdWM3NzRcdWIzZDlcdWQ1NThcdWIyOTRcdWIzNzAgXHVkNTQ0XHVjNjk0KSBcdWM3NzRcdWJjZjRcdWIyZTQgXHVjODAxXHVjNzQwIFx1YzVmMFx1YjhjYyBcdWM2YTlcdWI3YzlcdWM3M2NcdWI4NWMgXHVhYzA4IFx1YzIxOCBcdWM3ODhcdWIyOTQgXHVhY2JkXHViODVjXHVhYzAwIFx1YzVjNlx1YWUzMCBcdWI1NGNcdWJiMzhcdWM1ZDAsIFx1Yzc3NCBcdWQ1NjhcdWMyMThcdWM3NTggXHViOWFjXHVkMTM0XHVhYzEyXHVjNzQwJm5ic3A7M1x1Yzc3NFx1YzViNFx1YzU3YyBcdWQ1NWNcdWIyZTQuPFwvbGk+XHJcblx0PGxpPjxjb2RlPmdldE1pbmltdW1GdWVsQ2FwYWNpdHkoMiwgNCk8XC9jb2RlPi4gNFx1YmM4OCBcdWIzYzRcdWMyZGNcdWM1ZDBcdWMxMWMgXHVjNjI0XHVhYzcwXHViMDk4IDRcdWJjODggXHViM2M0XHVjMmRjXHViODVjIFx1YWMwMFx1YjI5NCBcdWM3OTBcdWIzZDlcdWNjMjhcdWIyOTQgXHVjNWYwXHViOGNjXHVhYzAwJm5ic3A7MTBcdWI5Y2NcdWQwN2MgXHVkNTQ0XHVjNjk0XHVkNTU4XHVhZTMwIFx1YjU0Y1x1YmIzOFx1YzVkMCwgXHVjNzc0IFx1ZDU2OFx1YzIxOFx1Yzc1OCBcdWI5YWNcdWQxMzRcdWFjMTJcdWM3NDAmbmJzcDsxMFx1Yzc3NFx1YzViNFx1YzU3YyBcdWQ1NWNcdWIyZTQuPFwvbGk+XHJcblx0PGxpPjxjb2RlPmdldE1pbmltdW1GdWVsQ2FwYWNpdHkoMCwgMSk8XC9jb2RlPi4gXHVjNzc0IFx1ZDU2OFx1YzIxOFx1YjI5NCZuYnNwOzRcdWI5N2MgXHViOWFjXHVkMTM0XHVkNTc0XHVjNTdjIFx1ZDU1Y1x1YjJlNC48XC9saT5cclxuPFwvdWw+XHJcblxyXG48cD5cdWI0NTBcdWJjODhcdWM5ZjggXHVjNjA4XHVjODFjXHVjNWQwXHVjMTFjXHViMjk0LCZuYnNwOzxlbT5OPFwvZW0+ID0gMywmbmJzcDs8ZW0+TTxcL2VtPiA9IDIsJm5ic3A7PGVtPlU8XC9lbT4gPSBbMCwgMF0sJm5ic3A7PGVtPlY8XC9lbT4gPSBbMSwgMl0sJm5ic3A7PGVtPlc8XC9lbT4gPSBbNSwgNV0sJm5ic3A7PGVtPlE8XC9lbT4gPSAxLCZuYnNwOzxlbT5YPFwvZW0+ID0gWzFdLCZuYnNwOzxlbT5ZPFwvZW0+ID0gWzJdXHVjNzc0XHViMmU0LiBcdWM3NzQgXHVjNjA4XHVjODFjXHViMjk0IFx1YjJlNFx1Yzc0YyBcdWFkZjhcdWI5YmNcdWFjZmMgXHVhYzE5XHViMmU0LjxcL3A+XHJcblxyXG48cCBzdHlsZT1cInRleHQtYWxpZ246IGNlbnRlcjtcIj48aW1nIGFsdD1cIlwiIHNyYz1cImh0dHBzOlwvXC91cGxvYWQuYWNtaWNwYy5uZXRcL2FiYWQ2Yjc3LTJlOTEtNDEyOS1iNDVlLWRjMTAzYmRiYThiMlwvLVwvcHJldmlld1wvXCIgc3R5bGU9XCJ3aWR0aDogMTU3cHg7IGhlaWdodDogMjAwcHg7XCIgXC8+PFwvcD5cclxuXHJcbjxwPlx1YWRmOFx1YjgwOFx1Yzc3NFx1YjM1NFx1YjI5NCBcdWNjOThcdWM3NGNcdWM1ZDAmbmJzcDs8Y29kZT5pbml0KDMsIDIsIFswLCAwXSwgWzEsIDJdLCBbNSwgNV0pPFwvY29kZT5cdWI5N2MgXHVkNjM4XHVjZDljXHVkNTVjXHViMmU0LiBcdWFkZjggXHVkNmM0LCBcdWFkZjhcdWI4MDhcdWM3NzRcdWIzNTRcdWIyOTQgXHViMmU0XHVjNzRjIFx1Yzc3Y1x1Yzc0NCBcdWQ1NWNcdWIyZTQuJm5ic3A7Jm5ic3A7PFwvcD5cclxuXHJcbjx1bD5cclxuXHQ8bGk+PGNvZGU+Z2V0TWluaW11bUZ1ZWxDYXBhY2l0eSgxLCAyKTxcL2NvZGU+LiBcdWM3OTBcdWIzZDlcdWNjMjhcdWFjMDAgMVx1YmM4OCBcdWIzYzRcdWMyZGNcdWM1ZDBcdWMxMWMgMlx1YmM4OCBcdWIzYzRcdWMyZGNcdWI4NWMgXHVjNzc0XHViM2Q5XHVkNTU4XHViMjk0IFx1YWNmY1x1YzgxNVx1YzVkMFx1YzExYyBcdWIyZTRcdWI5NzggXHVjNzkwXHViM2Q5XHVjYzI4XHViOTdjIFx1YjljY1x1YjA5OFx1YzljMCBcdWM1NGFcdWIyOTQgXHVhYzgzXHVjNzQwIFx1YmQ4OFx1YWMwMFx1YjJhNVx1ZDU1OFx1YWUzMCBcdWI1NGNcdWJiMzhcdWM1ZDAsIFx1Yzc3NCBcdWQ1NjhcdWMyMThcdWIyOTQmbmJzcDstMVx1Yzc0NCBcdWI5YWNcdWQxMzRcdWQ1NzRcdWM1N2MgXHVkNTVjXHViMmU0LjxcL2xpPlxyXG48XC91bD5cclxuIiwiY3VzdG9tX2dyYWRlciI6IjxwPlx1YzBkOFx1ZDUwYyBcdWFkZjhcdWI4MDhcdWM3NzRcdWIzNTRcdWIyOTQgXHVjNzg1XHViODI1XHVjNzQ0IFx1YjJlNFx1Yzc0YyBcdWM1OTFcdWMyZGRcdWM3M2NcdWI4NWMgXHVjNzdkXHViMjk0XHViMmU0LjxcL3A+XHJcblxyXG48cHJlPlxyXG5OIE1cclxuVVswXSBWWzBdIFdbMF1cclxuVVsxXSBWWzFdIFdbMV1cclxuLlxyXG4uXHJcbi5cclxuVVtNLTFdIFZbTS0xXSBXW00tMV1cclxuUVxyXG5YWzBdIFlbMF1cclxuWFsxXSBZWzFdXHJcbi5cclxuLlxyXG4uXHJcblhbUS0xXSBZW1EtMV1cclxuPFwvcHJlPlxyXG5cclxuPHA+XHVjMGQ4XHVkNTBjIFx1YWRmOFx1YjgwOFx1Yzc3NFx1YjM1NFx1YjI5NCZuYnNwOzxjb2RlPmdldE1pbmltdW1GdWVsQ2FwYWNpdHk8XC9jb2RlPiZuYnNwO1x1ZDU2OFx1YzIxOFx1Yjk3YyBcdWQ2MzhcdWNkOWNcdWQ1NjAgXHViNTRjXHViOWM4XHViMmU0LCBcdWM3NzQgXHVkNTY4XHVjMjE4XHVjNzU4IFx1YjlhY1x1ZDEzNFx1YWMxMlx1Yzc0NCBcdWNkOWNcdWI4MjVcdWQ1NWNcdWIyZTQuPFwvcD5cclxuIiwiY3VzdG9tX2F0dGFjaG1lbnQiOiI8cD5cdWFjZjVcdWFjMWNcdWI0MWMgXHVhZGY4XHViODA4XHVjNzc0XHViMzU0LCBcdWM2MDhcdWM4MWMgXHVjZjAwXHVjNzc0XHVjMmE0LCBcdWJiMzhcdWM4MWNcdWM1ZDAgXHViMzAwXHVkNTVjIFx1YWUzMFx1YmNmOCBcdWQzMGNcdWM3N2NcdWM3NDAmbmJzcDs8YSBocmVmPVwiaHR0cHM6XC9cL3VwbG9hZC5hY21pY3BjLm5ldFwvNjkzOWVlZjctMjQ0YS00ODY4LWJiM2EtZDZkNWQxYTg2N2YzXC9cIj5cdWM1ZWNcdWFlMzA8XC9hPlx1YzVkMFx1YzExYyBcdWJjMWJcdWM3NDQgXHVjMjE4IFx1Yzc4OFx1YjJlNC4mbmJzcDs8XC9wPlxyXG4ifSx7InByb2JsZW1faWQiOiIxOTYxOSIsInByb2JsZW1fbGFuZyI6IjEiLCJ0aXRsZSI6IlN3YXBwaW5nIENpdGllcyIsImRlc2NyaXB0aW9uIjoiPHA+VGhlcmUgYXJlJm5ic3A7PGVtPk48XC9lbT4gY2l0aWVzIGluIEluZG9uZXNpYSwgbnVtYmVyZWQgZnJvbSZuYnNwOzAmbmJzcDt0byZuYnNwOzxlbT5OPFwvZW0+IC0gMS4gVGhlcmUgYXJlIGFsc28mbmJzcDs8ZW0+TTxcL2VtPiB0d28td2F5IHJvYWRzLCBudW1iZXJlZCBmcm9tJm5ic3A7MCB0byZuYnNwOzxlbT5NPFwvZW0+IC0gMS4gRWFjaCByb2FkIGNvbm5lY3RzIHR3byBkaWZmZXJlbnQgY2l0aWVzLiBUaGUmbmJzcDs8ZW0+aTxcL2VtPi10aCByb2FkIGNvbm5lY3RzIHRoZSA8ZW0+VTxcL2VtPls8ZW0+aTxcL2VtPl0tdGggY2l0eSBhbmQgdGhlIDxlbT5WPFwvZW0+WzxlbT5pPFwvZW0+XS10aCBjaXR5IGFuZCBjb25zdW1lcyA8ZW0+VzxcL2VtPls8ZW0+aTxcL2VtPl0mbmJzcDt1bml0cyBvZiBnYXMgd2hlbiB0cmF2ZXJzZWQgYnkgY2FyLiBUaGUgY2l0aWVzIGFyZSBjb25uZWN0ZWQgc3VjaCB0aGF0IGl0IGlzIHBvc3NpYmxlIHRvIHRyYXZlbCBiZXR3ZWVuIGFueSBwYWlyIG9mIGNpdGllcyB0aHJvdWdoIHRoZSByb2Fkcy48XC9wPlxyXG5cclxuPHA+Rm9yIGVhY2ggb2YgdGhlIG5leHQgPGVtPlE8XC9lbT4mbmJzcDtkYXlzLCBhIHBhaXIgb2YgY2l0aWVzIHdvdWxkIGxpa2UgdG8gZXN0YWJsaXNoIGEgcG9saXRpY2FsIHJlbGF0aW9uc2hpcC4gSW4gcGFydGljdWxhciwgb24gdGhlJm5ic3A7PGVtPmo8XC9lbT4tdGggZGF5LCB0aGUgPGVtPlg8XC9lbT5bPGVtPmo8XC9lbT5dLXRoIGNpdHkgd291bGQgbGlrZSB0byBlc3RhYmxpc2ggYSBwb2xpdGljYWwgcmVsYXRpb25zaGlwIHdpdGggdGhlIDxlbT5ZPFwvZW0+WzxlbT5qPFwvZW0+XS10aCBjaXR5LiBJbiBvcmRlciB0byBkbyB0aGlzLCB0aGUgPGVtPlg8XC9lbT5bPGVtPmo8XC9lbT5dLXRoIGNpdHkgc2hvdWxkIHNlbmQgYSByZXByZXNlbnRhdGl2ZSB0byBnbyB0byB0aGUmbmJzcDtZW2pdWVtqXS10aCBjaXR5IGJ5IGNhci4gU2ltaWxhcmx5LCB0aGUgPGVtPlk8XC9lbT5bPGVtPmo8XC9lbT5dLXRoIGNpdHkgc2hvdWxkIGFsc28gc2VuZCBhIHJlcHJlc2VudGF0aXZlIHRvIGdvIHRvIHRoZSA8ZW0+WDxcL2VtPls8ZW0+ajxcL2VtPl0tdGggY2l0eSBieSBjYXIuPFwvcD5cclxuXHJcbjxwPlRvIGF2b2lkIGNvbmdlc3Rpb24sIGJvdGggY2FycyBzaG91bGQgbm90IG1lZXQgYXQgYW55IHBvaW50IGluIHRpbWUuIEluIHBhcnRpY3VsYXIsIGJvdGggY2FycyBzaG91bGQgbm90IGJlIGluIHRoZSBzYW1lIGNpdHkgYXQgdGhlIHNhbWUgdGltZS4gQWxzbywgYm90aCBjYXJzIHNob3VsZCBub3QgdHJhdmVyc2UgdGhlIHNhbWUgcm9hZCBpbiB0aGUgb3Bwb3NpdGUgZGlyZWN0aW9uIGF0IHRoZSBzYW1lIHRpbWUuIEFkZGl0aW9uYWxseSwgY2FycyB0aGF0IHRyYXZlcnNlIHRoZSByb2FkIG11c3QgY29tcGxldGUgdGhlIHJvYWQgYW5kIGdvIHRvIHRoZSBkZXN0aW5hdGlvbiBjaXR5IChpbiBvdGhlciB3b3JkcywgY2FycyBhcmUgbm90IGFsbG93ZWQgdG8gbWFrZSBhIFUtdHVybiBpbiB0aGUgbWlkZGxlIG9mIGEgcm9hZCkuIEhvd2V2ZXIsIGNhcnMgYXJlIGFsbG93ZWQgdG8gdmlzaXQgdGhlIHNhbWUgY2l0eSBhbmQgcm9hZCBtb3JlIHRoYW4gb25jZS4gSW4gYWRkaXRpb24sIGNhcnMgbWF5IGFsc28gd2FpdCBhdCBhbnkgY2l0eSBhdCBhbnkgcG9pbnQgaW4gdGltZS48XC9wPlxyXG5cclxuPHA+U2luY2UgY2FycyB3aXRoIGhpZ2ggZnVlbCBjYXBhY2l0eSBhcmUgZXhwZW5zaXZlLCBib3RoIGNpdGllcyB3b3VsZCBsaWtlIHRvIGNob29zZSByb3V0ZXMgZm9yIGJvdGggY2FycyBzdWNoIHRoYXQgdGhlIG1heGltdW0gZnVlbCBjYXBhY2l0eSBvZiB0aGUgdHdvIGNhcnMgaXMgbWluaW1pemVkLiBUaGVyZSBhcmUgZ2FzIHN0YXRpb25zIGluIGVhY2ggY2l0eSB3aXRoIGFuIGluZmluaXRlIHN1cHBseSBvZiBnYXMsIHRodXMgdGhlIGZ1ZWwgY2FwYWNpdHkgcmVxdWlyZWQgYnkgYSBjYXIgaXMgdGhlJm5ic3A7PHN0cm9uZz5tYXhpbXVtPFwvc3Ryb25nPiZuYnNwO2dhcyBjb25zdW1wdGlvbiBhbW9uZyBhbGwgcm9hZHMgdHJhdmVyc2VkIGJ5IHRoZSBjYXIuPFwvcD5cclxuIiwiaW5wdXQiOiIiLCJvdXRwdXQiOiIiLCJoaW50IjoiIiwib3JpZ2luYWwiOiIwIiwiaHRtbF90aXRsZSI6IjAiLCJwcm9ibGVtX2xhbmdfdGNvZGUiOiJFbmdsaXNoIiwibGltaXQiOiI8dWw+XHJcblx0PGxpPjIgJmxlOyA8ZW0+TjxcL2VtPiAmbGU7IDEwMDAwMC48XC9saT5cclxuXHQ8bGk+PGVtPk48XC9lbT4gJm1pbnVzOyAxICZsZTsgPGVtPk08XC9lbT4gJmxlOyAyMDAwMDAuPFwvbGk+XHJcblx0PGxpPjAgJmxlOyA8ZW0+VTxcL2VtPls8ZW0+aTxcL2VtPl0gJmx0OyA8ZW0+VjxcL2VtPls8ZW0+aTxcL2VtPl0gJmx0OyA8ZW0+TjxcL2VtPi48XC9saT5cclxuXHQ8bGk+VGhlcmUgaXMgYXQgbW9zdCBvbmUgcm9hZCBiZXR3ZWVuIGVhY2ggcGFpciBvZiBjaXRpZXMuPFwvbGk+XHJcblx0PGxpPkl0IGlzIHBvc3NpYmxlIHRvIHRyYXZlbCBiZXR3ZWVuIGFueSBwYWlyIG9mIGNpdGllcyB0aHJvdWdoIHRoZSByb2Fkcy48XC9saT5cclxuXHQ8bGk+MSAmbGU7IDxlbT5XPFwvZW0+WzxlbT5pPFwvZW0+XSAmbGU7IDEwPHN1cD45PFwvc3VwPi48XC9saT5cclxuXHQ8bGk+MSAmbGU7IDxlbT5RPFwvZW0+ICZsZTsgMjAwMDAwLjxcL2xpPlxyXG5cdDxsaT4wICZsZTsgPGVtPlg8XC9lbT5bPGVtPmo8XC9lbT5dICZsdDsgPGVtPlk8XC9lbT5bPGVtPmo8XC9lbT5dICZsdDsgTi48XC9saT5cclxuPFwvdWw+XHJcbiIsInN1YnRhc2sxIjoiPHVsPlxyXG5cdDxsaT5FYWNoIGNpdHkgaXMgYW4gZW5kcG9pbnQgb2YgYXQgbW9zdCB0d28gcm9hZHMuPFwvbGk+XHJcbjxcL3VsPlxyXG4iLCJzdWJ0YXNrMiI6Ijx1bD5cclxuXHQ8bGk+PGVtPk08XC9lbT4gPSA8ZW0+TjxcL2VtPiZuYnNwOyZtaW51czsgMS48XC9saT5cclxuXHQ8bGk+PGVtPlU8XC9lbT5bPGVtPmk8XC9lbT5dID0gMC48XC9saT5cclxuPFwvdWw+XHJcbiIsInN1YnRhc2szIjoiPHVsPlxyXG5cdDxsaT48ZW0+UTxcL2VtPiAmbGU7IDUuPFwvbGk+XHJcblx0PGxpPjxlbT5OPFwvZW0+Jm5ic3A7JmxlOyAxMDAwLjxcL2xpPlxyXG5cdDxsaT48ZW0+TTxcL2VtPiAmbGU7IDIwMDAuPFwvbGk+XHJcbjxcL3VsPlxyXG4iLCJzdWJ0YXNrNCI6Ijx1bD5cclxuXHQ8bGk+PGVtPlE8XC9lbT4gJmxlOyA1LjxcL2xpPlxyXG48XC91bD5cclxuIiwic3VidGFzazUiOiI8dWw+XHJcblx0PGxpPjxlbT5NPFwvZW0+ID0gPGVtPk48XC9lbT4gLSAxLjxcL2xpPlxyXG48XC91bD5cclxuIiwic3VidGFzazYiOiI8dWw+XHJcblx0PGxpPk5vIGFkZGl0aW9uYWwgY29uc3RyYWludHMuPFwvbGk+XHJcbjxcL3VsPlxyXG4iLCJjdXN0b21fdGFzayI6IjxwPllvdSBoYXZlIHRvIGltcGxlbWVudCZuYnNwOzxjb2RlPmluaXQ8XC9jb2RlPiZuYnNwO2FuZCZuYnNwOzxjb2RlPmdldE1pbmltdW1GdWVsQ2FwYWNpdHk8XC9jb2RlPiZuYnNwO2Z1bmN0aW9ucy48XC9wPlxyXG5cclxuPHVsPlxyXG5cdDxsaT48Y29kZT5pbml0KE4sIE0sIFUsIFYsIFcpPFwvY29kZT4mbmJzcDstIFRoaXMgZnVuY3Rpb24gd2lsbCBiZSBjYWxsZWQgYnkgdGhlIGdyYWRlciBleGFjdGx5IG9uY2UgYmVmb3JlIGFueSZuYnNwOzxjb2RlPmdldE1pbmltdW1GdWVsQ2FwYWNpdHk8XC9jb2RlPiZuYnNwO2NhbGxzLlxyXG5cclxuXHQ8dWw+XHJcblx0XHQ8bGk+PGVtPk48XC9lbT46IEFuIGludGVnZXIgcmVwcmVzZW50aW5nIHRoZSBudW1iZXIgb2YgY2l0aWVzLjxcL2xpPlxyXG5cdFx0PGxpPjxlbT5NPFwvZW0+OiBBbiBpbnRlZ2VyIHJlcHJlc2VudGluZyB0aGUgbnVtYmVyIG9mIHJvYWRzLjxcL2xpPlxyXG5cdFx0PGxpPjxlbT5VPFwvZW0+OiBBbiBhcnJheSBvZiZuYnNwOzxlbT5NPFwvZW0+Jm5ic3A7aW50ZWdlcnMgcmVwcmVzZW50aW5nIHRoZSBmaXJzdCBlbmRwb2ludCBvZiB0aGUgcm9hZHMuPFwvbGk+XHJcblx0XHQ8bGk+PGVtPlY8XC9lbT46IEFuIGFycmF5IG9mJm5ic3A7PGVtPk08XC9lbT4gaW50ZWdlcnMgcmVwcmVzZW50aW5nIHRoZSBzZWNvbmQgZW5kcG9pbnQgb2YgdGhlIHJvYWRzLjxcL2xpPlxyXG5cdFx0PGxpPjxlbT5XPFwvZW0+OiBBbiBhcnJheSBvZiZuYnNwOzxlbT5NPFwvZW0+Jm5ic3A7aW50ZWdlcnMgcmVwcmVzZW50aW5nIHRoZSBnYXMgY29uc3VtcHRpb24gb2YgdGhlIHJvYWRzLjxcL2xpPlxyXG5cdDxcL3VsPlxyXG5cdDxcL2xpPlxyXG5cdDxsaT48Y29kZT5nZXRNaW5pbXVtRnVlbENhcGFjaXR5KFgsIFkpPFwvY29kZT4mbmJzcDstIFRoaXMgZnVuY3Rpb24gd2lsbCBiZSBjYWxsZWQgYnkgdGhlIGdyYWRlciBleGFjdGx5Jm5ic3A7PGVtPlE8XC9lbT4gdGltZXMuXHJcblx0PHVsPlxyXG5cdFx0PGxpPjxlbT5YPFwvZW0+OiBBbiBpbnRlZ2VyIHJlcHJlc2VudGluZyB0aGUgZmlyc3QgY2l0eS48XC9saT5cclxuXHRcdDxsaT48ZW0+WTxcL2VtPjogQW4gaW50ZWdlciByZXByZXNlbnRpbmcgdGhlIHNlY29uZCBjaXR5LjxcL2xpPlxyXG5cdFx0PGxpPlRoaXMgZnVuY3Rpb24gbXVzdCByZXR1cm4gYW4gaW50ZWdlciByZXByZXNlbnRpbmcgdGhlIG1pbmltdW0gdW5pdCBvZiBmdWVsIGNhcGFjaXR5IG9mIHRoZSBtYXhpbXVtIGZ1ZWwgY2FwYWNpdHkgb2YgdGhlIHR3byBjYXJzIHN1Y2ggdGhhdCBhIHJlcHJlc2VudGF0aXZlIGZyb20gdGhlIDxlbT5YPFwvZW0+LXRoIGNpdHkgY2FuIGdvIHRvIHRoZSZuYnNwOzxlbT5ZPFwvZW0+LXRoIGNpdHkgYW5kIGEgcmVwcmVzZW50YXRpdmUgZnJvbSB0aGUgPGVtPlk8XC9lbT4tdGggY2l0eSBjYW4gZ28gdG8gdGhlJm5ic3A7PGVtPlg8XC9lbT4tdGggY2l0eSBmb2xsb3dpbmcgdGhlIHJ1bGVzIGV4cGxhaW5lZCBpbiB0aGUgcHJvYmxlbSBzdGF0ZW1lbnQsIG9yJm5ic3A7LTEmbmJzcDtpZiBpdCBpcyBpbXBvc3NpYmxlIHRvIGRvIHNvLjxcL2xpPlxyXG5cdDxcL3VsPlxyXG5cdDxcL2xpPlxyXG48XC91bD5cclxuIiwiY3VzdG9tX2V4YW1wbGUiOiI8cD5JbiB0aGUgZmlyc3QgZXhhbXBsZSwmbmJzcDs8ZW0+TjxcL2VtPiA9IDUsJm5ic3A7PGVtPk08XC9lbT4gPSA2LCZuYnNwOzxlbT5VPFwvZW0+ID0gWzAsIDAsIDEsIDEsIDEsIDJdLCZuYnNwOzxlbT5WPFwvZW0+ID0gWzEsIDIsIDIsIDMsIDQsIDNdLCA8ZW0+VzxcL2VtPiA9IFs0LCA0LCAxLCAyLCAxMCwgM10sJm5ic3A7PGVtPlE8XC9lbT4gPSAzLCZuYnNwOzxlbT5YPFwvZW0+ID0gWzEsIDIsIDBdLCZuYnNwOzxlbT5ZPFwvZW0+ID0gWzIsIDQsIDFdLiBUaGUgZXhhbXBsZSBpcyBpbGx1c3RyYXRlZCBieSB0aGUgZm9sbG93aW5nIGltYWdlOjxcL3A+XHJcblxyXG48cCBzdHlsZT1cInRleHQtYWxpZ246IGNlbnRlcjtcIj48aW1nIGFsdD1cIlwiIHNyYz1cImh0dHBzOlwvXC91cGxvYWQuYWNtaWNwYy5uZXRcL2IyZDljMzA0LWM0MmQtNDYzMC1iMTBiLTJjNzFlZjk5YjYxZFwvLVwvcHJldmlld1wvXCIgc3R5bGU9XCJ3aWR0aDogMjY4cHg7IGhlaWdodDogMjAwcHg7XCIgXC8+PFwvcD5cclxuXHJcbjxwPlRoZSBncmFkZXIgd2lsbCBpbml0aWFsbHkgY2FsbCZuYnNwOzxjb2RlPmluaXQoNSwgNiwgWzAsIDAsIDEsIDEsIDEsIDJdLCBbMSwgMiwgMiwgMywgNCwgM10sIFs0LCA0LCAxLCAyLCAxMCwgM10pPFwvY29kZT4uIEFmdGVyIHRoYXQsIHRoZSBncmFkZXIgd2lsbCBjYWxsIHRoZSBmb2xsb3dpbmc6PFwvcD5cclxuXHJcbjx1bD5cclxuXHQ8bGk+PGNvZGU+Z2V0TWluaW11bUZ1ZWxDYXBhY2l0eSgxLCAyKTxcL2NvZGU+LiBGaXJzdCwgdGhlIGNhciBmcm9tIHRoZSBmaXJzdCBjaXR5IGNhbiBnbyB0byB0aGUgdGhpcmQgY2l0eS4gTmV4dCwgdGhlIGNhciBmcm9tIHRoZSBzZWNvbmQgY2l0eSBjYW4gZ28gdG8gdGhlIGZpcnN0IGNpdHksIGFuZCB0aGUgY2FyIGZyb20gdGhlIHRoaXJkIGNpdHkgY2FuIGdvIHRvIHRoZSBzZWNvbmQgY2l0eS4gVGhlcmVmb3JlLCB0aGUgbWF4aW11bSBmdWVsIGNhcGFjaXR5IG9mIHRoZSB0d28gY2FycyBpcyZuYnNwOzMmbmJzcDt1bml0cyBvZiBmdWVsIChyZXF1aXJlZCB0byBnbyBmcm9tIHRoZSB0aGlyZCBjaXR5IHRvIHRoZSBzZWNvbmQgY2l0eS4gVGhlcmUgaXMgbm8gcm91dGUgdGhhdCByZXF1aXJlcyBsZXNzIGZ1ZWwgY2FwYWNpdHksIHRodXMgdGhlIGZ1bmN0aW9uIHNob3VsZCByZXR1cm4mbmJzcDszLjxcL2xpPlxyXG5cdDxsaT48Y29kZT5nZXRNaW5pbXVtRnVlbENhcGFjaXR5KDIsIDQpPFwvY29kZT4uIEFueSBjYXIgdGhhdCBnb2VzIHRvIG9yIGZyb20gdGhlIGZvdXJ0aCBjaXR5IHNob3VsZCByZXF1aXJlJm5ic3A7MTAgdW5pdHMgb2YgZnVlbCBjYXBhY2l0eSwgdGh1cyB0aGUgZnVuY3Rpb24gc2hvdWxkIHJldHVybiZuYnNwOzEwLjxcL2xpPlxyXG5cdDxsaT48Y29kZT5nZXRNaW5pbXVtRnVlbENhcGFjaXR5KDAsIDEpPFwvY29kZT4uIFRoZSBmdW5jdGlvbiBzaG91bGQgcmV0dXJuJm5ic3A7NC48XC9saT5cclxuPFwvdWw+XHJcblxyXG48cD5JbiB0aGUgc2Vjb25kIGV4YW1wbGUsJm5ic3A7PGVtPk48XC9lbT4gPSAzLCZuYnNwOzxlbT5NPFwvZW0+ID0gMiwmbmJzcDs8ZW0+VTxcL2VtPiA9IFswLCAwXSwmbmJzcDs8ZW0+VjxcL2VtPiA9IFsxLCAyXSwmbmJzcDs8ZW0+VzxcL2VtPiA9IFs1LCA1XSwmbmJzcDs8ZW0+UTxcL2VtPiA9IDEsJm5ic3A7PGVtPlg8XC9lbT4gPSBbMV0sJm5ic3A7PGVtPlk8XC9lbT4gPSBbMl0uIFRoZSBleGFtcGxlIGlzIGlsbHVzdHJhdGVkIGJ5IHRoZSBmb2xsb3dpbmcgaW1hZ2U6PFwvcD5cclxuXHJcbjxwIHN0eWxlPVwidGV4dC1hbGlnbjogY2VudGVyO1wiPjxpbWcgYWx0PVwiXCIgc3JjPVwiaHR0cHM6XC9cL3VwbG9hZC5hY21pY3BjLm5ldFwvYWJhZDZiNzctMmU5MS00MTI5LWI0NWUtZGMxMDNiZGJhOGIyXC8tXC9wcmV2aWV3XC9cIiBzdHlsZT1cIndpZHRoOiAxNTdweDsgaGVpZ2h0OiAyMDBweDtcIiBcLz48XC9wPlxyXG5cclxuPHA+VGhlIGdyYWRlciB3aWxsIGluaXRpYWxseSBjYWxsJm5ic3A7PGNvZGU+aW5pdCgzLCAyLCBbMCwgMF0sIFsxLCAyXSwgWzUsIDVdKTxcL2NvZGU+LiBBZnRlciB0aGF0LCB0aGUgZ3JhZGVyIHdpbGwgY2FsbCB0aGUgZm9sbG93aW5nOjxcL3A+XHJcblxyXG48dWw+XHJcblx0PGxpPjxjb2RlPmdldE1pbmltdW1GdWVsQ2FwYWNpdHkoMSwgMik8XC9jb2RlPi4gSXQgaXMgaW1wb3NzaWJsZSBmb3IgdGhlIGNhciBpbiB0aGUgZmlyc3QgY2l0eSB0byBnbyB0byB0aGUgc2Vjb25kIGNpdHkgd2l0aG91dCBtZWV0aW5nIHRoZSBvdGhlciBjYXIgYXQgc29tZSB0aW1lLCB0aHVzIHRoZSBmdW5jdGlvbiBzaG91bGQgcmV0dXJuJm5ic3A7LTEuPFwvbGk+XHJcbjxcL3VsPlxyXG4iLCJjdXN0b21fZ3JhZGVyIjoiPHA+VGhlIHNhbXBsZSBncmFkZXIgcmVhZHMgdGhlIGlucHV0IGluIHRoZSBmb2xsb3dpbmcgZm9ybWF0OjxcL3A+XHJcblxyXG48cHJlPlxyXG5OIE1cclxuVVswXSBWWzBdIFdbMF1cclxuVVsxXSBWWzFdIFdbMV1cclxuLlxyXG4uXHJcbi5cclxuVVtNLTFdIFZbTS0xXSBXW00tMV1cclxuUVxyXG5YWzBdIFlbMF1cclxuWFsxXSBZWzFdXHJcbi5cclxuLlxyXG4uXHJcblhbUS0xXSBZW1EtMV1cclxuPFwvcHJlPlxyXG5cclxuPHA+Rm9yIGVhY2gmbmJzcDs8Y29kZT5nZXRNaW5pbXVtRnVlbENhcGFjaXR5PFwvY29kZT4mbmJzcDtjYWxsLCB0aGUgc2FtcGxlIGdyYWRlciBwcmludHMgdGhlIHZhbHVlIHJldHVybmVkIGJ5IHRoZSBmdW5jdGlvbi48XC9wPlxyXG4iLCJjdXN0b21fYXR0YWNobWVudCI6IjxwPlRoZSBwdWJsaWMgZ3JhZGVyLCBzYW1wbGUgY2FzZXMsIGFuZCBza2VsZXRvbiBmaWxlcyBmb3IgdGhpcyBwcm9ibGVtIGlzIGF2YWlsYWJsZSZuYnNwOzxhIGhyZWY9XCJodHRwczpcL1wvdXBsb2FkLmFjbWljcGMubmV0XC82OTM5ZWVmNy0yNDRhLTQ4NjgtYmIzYS1kNmQ1ZDFhODY3ZjNcL1wiPmhlcmU8XC9hPi48XC9wPlxyXG4ifV0=

샘플 그레이더

샘플 그레이더는 입력을 다음 양식으로 읽는다.

N M
U[0] V[0] W[0]
U[1] V[1] W[1]
.
.
.
U[M-1] V[M-1] W[M-1]
Q
X[0] Y[0]
X[1] Y[1]
.
.
.
X[Q-1] Y[Q-1]

샘플 그레이더는 getMinimumFuelCapacity 함수를 호출할 때마다, 이 함수의 리턴값을 출력한다.

첨부

공개된 그레이더, 예제 케이스, 문제에 대한 기본 파일은 여기에서 받을 수 있다. 

제출할 수 있는 언어

C++17, Java 8, C++14, Java 8 (OpenJDK), Java 11, C++20, C++14 (Clang), C++17 (Clang), C++20 (Clang)

채점 및 기타 정보

  • 예제는 채점하지 않는다.