| 시간 제한 | 메모리 제한 | 제출 | 정답 | 맞힌 사람 | 정답 비율 |
|---|---|---|---|---|---|
| 1 초 | 512 MB | 23 | 12 | 9 | 60.000% |
В лаборатории теоретической пиротехники изучают новые технологии организации фейерверков. Фейерверк представляется как корневое дерево, а поскольку в мощном фейерверке его элементы также взрываются, порождая новые фейерверки, то ученые вводят операцию возведения корневого дерева в степень.
Корневое дерево содержит одну или несколько вершин. Одна из вершин выделена и называется корнем дерева, для каждой из остальных вершин ровно одна другая вершина является родителем. При этом от любой вершины можно добраться до корня, последовательно переходя от вершины к ее родителю. Вершина, которая не является родителем никакой другой вершины, называется листом. Если вершина x является родителем вершины y, то вершина y является ребенком вершины x. Будем говорить, что вершина и ее родитель соединены ребром.
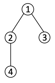
На рис. 1 показан пример корневого дерева с корнем в вершине 1. Родителем вершин 2 и 3 является вершина 1, родителем вершины 4 является вершина 2. Вершины 2 и 3 — дети вершины 1, а вершина 4 — ребенок вершины 2. Листьями являются вершины 3 и 4.
Рис. 1. Пример корневого дерева с корнем в вершине 1, листьями 3 и 4.
Фейерверк задается своим базовым деревом T и мощностью m. Фейерверк представляется деревом, которое получается в результате возведения дерева T в степень m. Операция возведения дерева в степень устроена следующим образом. Если m = 1, то результат T1 — само дерево T. Для m > 1 рассмотрим дерево Tm–1. Выполним следующую операцию: для каждого листа x дерева Tm–1 создадим копию дерева T и назначим лист x родителем корня соответствующей копии. Получившееся дерево будет деревом Tm.
На рис. 2 показано дерево, представленное на рис. 1, в степенях 1, 2 и 3.
Рис. 2. Пример возведения дерева в степени 1, 2 и 3.
Путем в дереве называется последовательность вершин, в которой две соседние вершины соединены ребром. Все вершины в пути должны быть различны.
Для того, чтобы оценить красоту фейерверка, необходимо определить, какое максимальное количество вершин может содержать путь в дереве, которым представляется фейерверк. На рис. 3 приведен путь в дереве T2, содержащий максимальное количество вершин. Таким образом, красота фейерверка с базовым деревом T и мощностью 2 равна 10.
Рис. 3. Путь в дереве T2, содержащий максимальное количество вершин.
Требуется написать программу, которая по описанию дерева T и натуральному числу m определяет красоту фейерверка с базовым деревом T и мощностью m.
Первая строка входных данных содержит два натуральных числа n и m — количество вершин в базовом дереве фейерверка T и его мощность (3 ≤ n ≤ 200 000, 1 ≤ m ≤ 200 000).
Вторая строка описывает дерево T и содержит (n – 1) целых чисел: p2, p3, …, pn — номера родителей вершин 2, 3, …, n, соответственно (1 ≤ pi ≤ i – 1).
Требуется вывести одно целое число — красоту фейерверка, представляемого деревом Tm.
4 2 1 1 2
10