시간 제한메모리 제한제출정답맞힌 사람정답 비율
2 초 512 MB197442525620.016%

문제

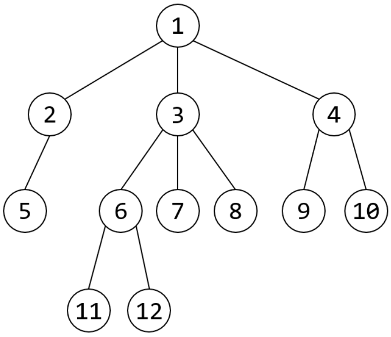
$N$명의 사원으로 구성되는 어느 회사의 조직도는 루트 트리(rooted tree)로 표현된다. 트리의 각 노드는 한 명의 사원을 의미하고, 간선은 직속 상사-부하의 관계를 나타낸다. 각 사원은 $1$부터 $N$까지 번호가 부여되어 있다. 사원 $1$은 회사의 사장이며, 트리의 루트이다. 각 사원의 실력 또한 정수로 표현되는데, 실력은 음수일수도 있다. 아래 그림은 조직도의 한 예를 보여준다. 노드 안의 수는 사원 번호를 의미한다.

사원 중 일부를 팀장으로 선택하려 한다. 팀장으로 선발되면, 팀장은 자신을 포함하여 팀을 구성해야 하는데, 각 팀은 다음 조건을 만족해야 한다.

  1. 팀원은 팀장의 부하 직원이어야 한다. (단, 직속 부하일 필요는 없다.) 예를 들어, 사원 $3$이 팀장이라면, 사원 $8$이나 $11$은 팀원이 될 수 있지만, 사원 $1$이나 $9$는 팀원이 될 수 없다.
  2. 어떤 사원이 팀원으로 포함되면, 그 사원의 직속 상사도 반드시 같은 팀의 팀원으로 포함되어야 한다 (단, 팀장 제외). 예를 들어, 사원 3이 팀장인 경우, 팀 구성이 $\{3, 6, 11\}$인 경우는 가능하나, $\{3, 8, 11\}$은 사원 $11$의 상사인 사원 $6$이 포함되지 않아 불가능하다.
  3. 팀의 점수(팀장을 포함한 팀원 전체의 실력의 합으로 정의)가 최대가 되도록 팀원을 구성해야 한다. (팀의 점수가 최대가 되도록 하는 팀 구성이 유일하지 않으면, 그 중 아무거나 골라도 된다.) 예들 들어, 모든 사원의 실력이 모두 양수라고 가정했을 때, 사원 $3$을 팀장으로 선발하면, 팀 구성은 반드시 $\{3, 6, 7, 8, 11, 12\}$가 되어야 되고, 이 중 한명이라도 팀원에서 빠지는 경우는 허용되지 않는다.
  4. 팀원은 다른 팀의 팀원(팀장 포함)이 될 수 없다. 따라서 어떤 사원 A가 팀장일 때, 부하직원 B가 조건 $3$에 의해 팀장 A의 팀원이 되어야 한다면, 사원 A와 B를 모두 팀장으로 선발하는 것은 불가능한다.

회사에서는 두 명의 팀장을 선택하여 두 개의 팀을 구성하되, 두 팀의 점수를 합산한 결과(즉, 두 팀의 팀원 전체의 실력의 합)가 최대가 되도록 하려고 한다. 두 팀 점수의 합으로 가능한 최댓값을 계산하는 프로그램을 작성하라. 위 조건을 만족하도록 두 팀을 구성할 수 있는 경우만 입력으로 주어진다.

입력

첫 번째 줄에 하나의 정수 $N$이 주어진다.

다음 $N$개의 줄에는 사원들에 대한 정보가 주어진다. 이 중 $i$ ($1 \le i \le N$)번째 줄에는 사원 $i$의 실력과 직속 상사 번호를 나타내는 두 개의 정수가 공백 하나를 사이로 두고 주어진다.

사원 1은 직속 상사가 없으므로, 사원 $1$의 직속 상사 번호의 자리에는 대신 $-1$이 들어온다.

출력

두 팀 점수의 합으로 가능한 최댓값을 출력하라. 출력 값이 매우 클 수 있으므로 C, C++ 언어에서는 long long 형의 변수를, Java에서는 long 형의 변수를 사용해야 한다.

제한

  • $2 \le N \le 200~000$
  • 사원의 실력은 $-1~000~000~000$ 이상, $1~000~000~000$ 이하의 정수이다.
  • 사원 $1$을 제외한 각 사원 $i$의 직속 상사 번호는 $i - 1$ 이하이다.
  • 지문에 제시된 조건을 만족하도록 두 팀을 구성할 수 있다.

서브태스크

번호배점제한
117

모든 사원의 실력은 양수이다.

212

$N \le 5~000$이고, 사원 $1$을 제외한 각 사원 $i$의 직속 상사 번호는 $i - 1$이다.

320

사원 $1$을 제외한 각 사원 $i$의 직속 상사 번호는 $i - 1$이다.

416

$N \le 400$.

517

$N \le 5~000$.

618

추가 제약 조건 없음

예제 입력 1

4
3 -1
-2 1
2 2
-1 1

예제 출력 1

5

출처

Olympiad > 한국정보올림피아드 > KOI 2021 1차대회 > 중등부 2번

  • 데이터를 추가한 사람: dohoon

채점 및 기타 정보

  • 예제는 채점하지 않는다.