시간 제한메모리 제한제출정답맞힌 사람정답 비율
0.1 초 1024 MB74350.000%

문제

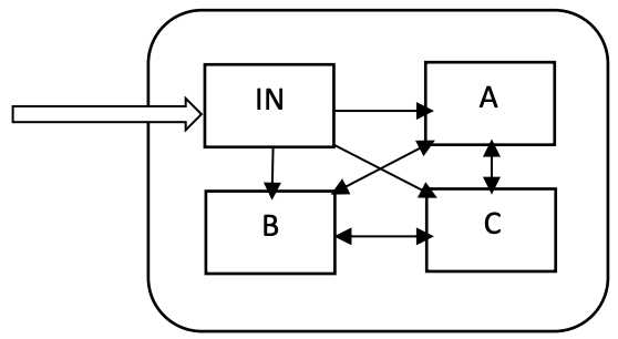
he simple architecture of the nanoprocessor Perfect Function (briefly PF) includes an input register IN and three integer registers A, B and C. IN is connected to the standard input, and the result from the calculation is expected in A. A non-negative integer and one of the characters +, -, * and = can be read in IN from the standard input.

The elementary operations, which PF is able to perform, are shown in the table below.

The following notation is used:

  • <Reg> - any of the four registers;
  • <R>, <R1>, <R2> - any of the three integer registers A, B or C
  • <number> - a non-negative integer;
  • <const> - any of the characters allowed, or a non-negative integer.

You can notice that for the binary operations, which change a register, the changing register is the second parameter.

Code of the operation Action
ReadInt A non-negative integer is read in IN from the standard input. An error occurs, if after cleaning up the delimiters, something else comes from the standard input.
ReadChar One of the characters +, -, * or = is read in IN from the standard input. An error occurs, if after cleaning up the delimiters, there is some other character or a number on the standard input.
If <Reg> Is <const> The beginning of a block to be executed if the content of Reg is equal to the constant const. An attempt to compare a character and a number leads to an error.
EndIf End of the If-block
Store <number> <R> The content of R becomes equal to the non-negative integer <number>.
Copy IN <R> The content of IN is copied into R. An error occurs if there is a character in IN, and not a number.
Copy <R1> <R2> The content of R1 is copied into R2.
Add <Reg> <R> The content of Reg is added to the content of R. If there is a character in Reg, an error occurs.
Sub <Reg> <R> The content of Reg is subtracted from the content of R. If there is a character in Reg, an error occurs.
Mul <Reg> <R> The content of Reg is multiplied by the content of R. If there is a character in Reg, an error occurs.
Repeat Beginning of a cycle block
Loop End of the cycle block
Stop End of the calculation process. The result is the content of A.

In the beginning of the calculation all registers contain the number 0.

Write a program for the processor PF to correctly calculate an arithmetic expression, containing nonnegative integers and the arithmetic operations '+', '-' and '*'. The result should be obtained in register A. By “correct”, we mean to follow the accepted standard priority of operations: multiplication first, then addition and subtraction from left to right. Thus, the input 2 + 2 * 2 = should leave in A result 6, not 8.

입력

The input for your program is correct and will look as follows:

Numbers, alternatively followed by a character, are coming from the standard input to the IN register. This sequence begins with a number. All the numbers are non-negative integers. The character following each of them is one amongst '+', '-', '*' and '='. Any non-empty set of spaces, tabs or new line symbols can serve as a delimiter between the members of the sequence. The end of the sequence is marked by reading the character '='. The characters '+', '-' and '*' denote the standard numerical operations: addition, subtraction, and multiplication, respectively.

출력

The problem is of “output-only” type. Send to the testing system a text file PF.txt, containing the program for PF-processor that you have coded, which solves the described problem. Each line of the file PF.txt should be a correct operation for the processor PF.

제한

The file PF.txt should not exceed 255 program lines and 64 KB in size. The calculated result of any subsequence of the given one, starting and ending at a number, is a positive or negative integer, or zero, but contains no more than 18 decimal digits.

인터프리터

You are provided with an interpreter of programs for the nanoprocessor PF – the file PFI.cpp. It reads from the folder, where it is compiled, the PF.txt file, which represents a program for the PF-processor, and waits for data from the standard input. If trace mode is switched on (#define TRACE 1), the instructions are executed step by step, after each instruction the registers’ content is shown on the standard output, and key is expected. On error, the process terminates with a corresponding message sent to the standard error device. Of course, you can redesign this interpreter as you see comfortable.

Example.

Input

12 – 0 * 12345678 * 5 + 3 * 6 – 43 =

Output: The content of register A should be

-13

예제

For faster orientation, we show you below a sample program for PF (the identation is also sample), which for a correctly input sequence of 4 members: a non-negative integer x, a sign + or -, a non-negative integer y and the sign = calculates the expression 2 x±y:

ReadInt
Copy IN B
Store 1 A
Copy A C
If B is 0
    ReadChar
    If IN is +
        ReadInt
        Add IN A
        ReadChar
        Stop
    EndIf
    ReadInt
    Sub IN A
    ReadChar
    Stop
EndIf
Add A A
Repeat
    Sub C B
    If B is 0
        ReadChar
        If IN is +
            ReadInt
            Add IN A
            ReadChar
            Stop
        EndIf
        ReadInt
        Sub IN A
        ReadChar
        Stop
    EndIf
    Add C C
    Mul C A
    Store 1 C
Loop

제출할 수 있는 언어

Text