시간 제한메모리 제한제출정답맞힌 사람정답 비율
2 초 256 MB218738.889%

문제

After discovering $n$ planets, numbered from $0$ to $n-1$, the Pharaohs have started to build a transportation system between them by one-way teleporters. Each teleporter has a starting planet and an ending planet. When a tourist uses a teleporter in the starting planet, the tourist is teleported to the ending planet. Note that the starting and ending planet of a teleporter may be the same. A teleporter with its starting planet $u$ and ending planet $v$ is denoted by $(u,v)$.

To encourage widespread use of the teleportation system, the Pharaohs have created a game that can be played by tourists while travelling with the transportation system. A tourist can start the game from any planet. The planets $0, 1, \ldots, k-1$ ($k \leq n$) are called special planets. Every time a tourist enters a special planet, the tourist gets an stamp.

Currently, for each $i$ ($0 \leq i \leq k-2$), there is a teleporter $(i, i+1)$. These $k-1$ teleporters are called starting teleporters.

New teleporters are added one by one. As new teleporters are added, it may become possible for a tourist to get infinite number of stamps. To be precise, this happens when there is a sequence of planets $w[0], w[1], \ldots, w[t]$ satisfying the following conditions:

  • $1 \leq t$
  • $0 \leq w[0] \leq k-1$
  • $w[t] = w[0]$
  • For each $i$ ($0 \leq i \leq t-1$), there is a teleporter $(w[i], w[i+1])$.

Note that a tourist can use starting teleporters and any teleporters that have been added so far.

Your task is to help the Pharaohs verify, after the addition of each teleporter, whether a tourist can get infinite number of stamps or not.

구현

You should implement the following procedures:

init(int n, int k)
  • $n$: the number of planets.
  • $k$: the number of special planets.
  • This procedure is called exactly once, before any calls to add_teleporter.
int add_teleporter(int u, int v)
  • $u$ and $v$: the starting and the ending planet of the added teleporter.
  • This function is called at most $m$ times (for the value of $m$, see Constraints).
  • This function should return $1$ if, after the teleporter $(u,v)$ is added, the tourist can get infinite number of stamps. Otherwise, this function should return $0$.
  • Once this function returns $1$, your program will be terminated.

제한

  • $1 \leq n \leq 300\,000$
  • $1 \leq m \leq 500\,000$
  • $1 \leq k \leq n$

For each call to the add_teleporter procedure:

  • $0 \leq u \leq n-1$ and $0 \leq v \leq n-1$
  • There is no teleporter from the planet $u$ to the planet $v$ before adding the teleporter $(u,v)$.

예제 1

Consider the following call:

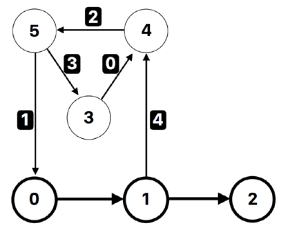
init(6, 3)

In this example, there are $6$ planets and $3$ special planets. The planets $0$, $1$, and $2$ are special planets. The starting teleporters are $(0, 1)$ and $(1, 2)$.

Suppose that the grader calls:

  • (0) add_teleporter(3, 4): You should return $0$.
  • (1) add_teleporter(5, 0): You should return $0$.
  • (2) add_teleporter(4, 5): You should return $0$.
  • (3) add_teleporter(5, 3): You should return $0$.
  • (4) add_teleporter(1, 4): At this point it is possible to get infinite number of stamps. For example, the tourist starts in the planet $0$, goes to the planets $1, 4, 5, 0, 1, 4, 5, 0, \ldots$ in this order. Hence, you should return $1$, and your program will be terminated.

The following figure illustrates this example. The special planets and the starting teleporters are shown in bold. Teleporters added by add_teleporter are labeled from $0$ through $4$, in order.

예제 2

Consider the following call:

init(4, 2)

In this example, there are $4$ planets and $2$ special planets. The planets $0$ and $1$ are special planets. The starting teleporter is $(0, 1)$.

Suppose that the grader calls:

  • add_teleporter(1, 1): after adding the teleporter $(1,1)$, it is possible to get infinite number of stamps. For example, the tourist starts in the planet $1$, and enters the planet $1$ infinitely many times using the teleporter $(1,1)$. Hence, you should return $1$, and your program will be terminated.

Another sample input/output is also available in the attachment package.

서브태스크

번호배점제한
12

$n = k$, $n \leq 100$, $m \le 300$

210

$n \leq 100$, $m \le 300$

318

$n \leq 1\,000$, $m \leq 5\,000$

430

$n \leq 30\,000$, $m \leq 50\,000$, $k \leq 1\,000$

540

No additional constraints

샘플 그레이더

The sample grader reads the input in the following format:

  • line $1$: $\,\, n\,m\,k$
  • line $2 + i$ ($0 \leq i \leq m-1$): $\,\, u[i]\,v[i]$

The sample grader first calls init, and then add_teleporter for $u = u[i]$ and $v = v[i]$ for $i = 0, 1,\ldots,m-1$ in order.

It prints the index of the first call to add_teleporter which returns $1$ (which is between $0$ and $m-1$, inclusive), or $m$ if all calls to add_teleporter return $0$.

If some call to add_teleporter returns an integer other than $0$ or $1$, the sample grader prints $-1$ and your program is terminated immediately.

제출할 수 있는 언어

C++17, C++14, C++20, C++14 (Clang), C++17 (Clang), C++20 (Clang)

채점 및 기타 정보

  • 예제는 채점하지 않는다.
  • 이 문제의 채점 우선 순위는 2이다.