시간 제한메모리 제한제출정답맞힌 사람정답 비율
3 초 (추가 시간 없음) 1024 MB123786265.957%

문제

The binary search tree is one of the most useful data structures in computer science. Many methods exist to keep them balanced, such as using tree rotations (like in AVL-trees) or randomness (like in treaps). One thing that these methods have in common is that they are all somewhat slow and complicated.

But this is all about to change! Rob the computer scientist has invented a new method to keep rooted binary trees balanced, that is much better than the current state-of-the-art. The main idea is to repeatedly perform an operation Rob calls a robbery. One robbery is to take a leaf from the tree, and remove it. By applying robberies at the right times, Rob is able to keep a tree balanced in $\mathcal{O}(1)$ amortized time.

Some people have criticised Rob's revolutionary discovery, saying that removing elements from the tree makes the algorithm incorrect. Rob does not agree that this is a big problem; if you plan to store $2 \cdot 10^5$ numbers, you probably do not need all of them. But Rob accepts the criticism and decides to find a way to minimise the number of robberies.

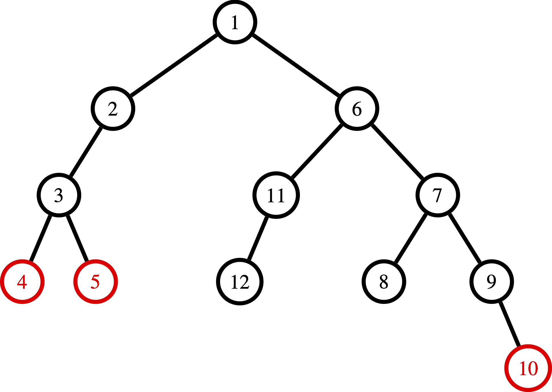
Figure H.1: Illustration of Sample Input 2. The tree becomes strongly balanced after removing the three vertices marked in red ($4$, $5$, and $10$); the minimum number of vertices that need to be removed to make the tree strongly balanced.

You are given a rooted binary tree with $n$ vertices. The vertices are numbered from $1$ to $n$, and vertex $1$ is the root. Your task is to find the minimum number of robberies to make the tree strongly balanced, meaning that all of its subtrees are balanced. A rooted binary tree is called balanced if the depth of its left and right subtrees differ by at most one. Recall that a robbery is simply to take a leaf and remove it, and doing so may turn its parent vertex into a leaf. See Figure H.1 for an example.

입력

The input consists of:

  • One line with an integer $n$ ($1 \leq n \leq 2 \cdot 10^5$), the number of vertices in the tree.
  • $n-1$ lines, each with two integers $u$ and $v$ ($1 \leq u, v \leq n$, $u\neq v$), indicating an edge between vertices $u$ and $v$.

It is guaranteed that the given edges form a valid binary tree with vertex $1$ as the root. However, the edges can appear in any order and are not directed: $u$ can be the parent of $v$ or the other way around.

출력

Output the minimum number of leaves you need to remove to make the tree strongly balanced.

예제 입력 1

6
1 2
1 3
3 4
3 5
5 6

예제 출력 1

1

예제 입력 2

12
1 2
2 3
3 4
3 5
1 6
6 7
7 8
7 9
9 10
6 11
11 12

예제 출력 2

3

출처

ICPC > Regionals > Europe > Northwestern European Regional Contest > NWERC 2022 H번

  • 문제를 만든 사람: Michael Zündorf