| 시간 제한 | 메모리 제한 | 제출 | 정답 | 맞힌 사람 | 정답 비율 |
|---|---|---|---|---|---|
| 6 초 | 1024 MB | 5 | 2 | 2 | 40.000% |
Bajtek, podczas swoich przygotowań do Bajtockiej Olimpiady Informatycznej Juniorów, natknął się na nową strukturę danych: kopiec binarny.
Kopiec binarny rozmiaru N może być reprezentowany przez tablicę1 (ciąg) długości N. Kolejne elementy tej tablicy umieszczone są na kolejnych poziomach drzewa binarnego. Węzły tego drzewa numerowane są kolejnymi liczbami naturalnymi od 1 do N włącznie. Węzeł i-ty jest rodzicem węzłów o numerach 2i oraz 2i + 1 (o ile te węzły istnieją, czyli o ile ich numer nie przekracza N). Każdy węzeł zawiera element tablicy T: w węźle o numerze i umieszczony jest i-ty element tablicy T. W kopcu musi być zachowana własność, że wartość zapisana w rodzicu węzła nie jest większa od wartości w jego dzieciach.
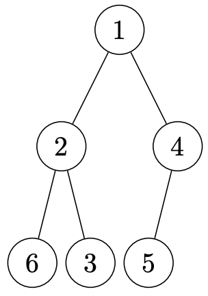
Poniższy rysunek przedstawia kopiec rozmiaru 6 reprezentowany ciągiem: (1, 2, 4, 6, 3, 5):
Bajtek zastanawia się czy jego tablica T reprezentuje kopiec. Co więcej, często dokonuje w tablicy zmian: każda taka zmiana polega na wybraniu dwóch pozycji x i y w tablicy (x ≤ y) oraz wartości z i zwiększeniu każdej z komórek T[x], T[x + 1], . . ., T[y] o z. Wartość z może być ujemna, co efektywnie oznacza zmniejszenie wartości komórek. Bajtek chciałby wiedzieć, po których operacjach jego tablica reprezentuje kopiec. Pomóż mu.
Napisz program, który wczyta zawartość początkową tablicy Bajtka T oraz operacje jakie Bajtek wykonuje na tablicy, wyznaczy po każdej operacji czy zawartość tablicy reprezentuje kopiec i wypisze wyniki na standardowe wyjście.
1Na potrzeby tego zadania zakładamy, że tablice indeksowane są kolejnymi liczbami naturalnymi od 1 do N.
W pierwszym wierszu wejścia znajduje się jedna liczba naturalna N (1 ≤ N ≤ 300 000), określająca rozmiar tablicy. W drugim wierszu znajduje się ciąg N liczb całkowitych T[i] (−109 ≤ T[i] ≤ 109) pooddzielanych pojedynczymi odstępami, oznaczają one kolejne elementy tablicy T. Elementy tablicy są numerowane jak węzły od 1 do N. W trzecim wierszu wejścia znajduje się jedna liczba naturalna Q (0 ≤ Q ≤ 300 000) określająca liczbę operacji Bajtka na tablicy. W kolejnych Q wierszach znajduje się opis każdej operacji: każda z operacji opisywana jest trzema liczbami x, y oraz z (1 ≤ x ≤ y ≤ N, −109 ≤ z ≤ 109) pooddzielanymi pojedynczymi odstępami. Oznaczają one zwiększenie komórek tablicy o indeksach w przedziale domkniętym [x, y] o z.
Twój program powinien wypisać na wyjście Q + 1 wierszy. W i-tym z nich powinna się znaleźć odpowiedź TAK lub NIE, w zależności od tego, czy po wykonaniu i − 1 pierwszych operacji z wejścia tablica Jasia reprezentuje kopiec.
6 1 2 4 6 3 5 5 2 4 4 4 6 5 1 1 -1 5 6 -2 1 2 10
TAK NIE TAK TAK TAK NIE
Wyjaśnienie do przykładu: Początkowy stan tablicy reprezentuje rysunek w treści powyżej. Jest ona kopcem, więc pierwszy wiersz wyjścia powinien być TAK. Po pierwszej operacji stan tablicy to: (1, 6, 8, 10, 3, 5). Nie jest to kopiec, bo węzeł numer 2 ma większą wartość niż jego dziecko: węzeł o numerze 5. Końcowy stan tablicy to: (10, 16, 8, 15, 6, 8).