| 시간 제한 | 메모리 제한 | 제출 | 정답 | 맞힌 사람 | 정답 비율 |
|---|---|---|---|---|---|
| 1 초 | 1024 MB | 34 | 5 | 5 | 27.778% |
Тихо взобравшись на вершину горы Фудзи, улитка хочет спуститься вниз. На склоне горы находится система тропинок, образующая подвешенное двоичное дерево.
Дерево содержит $n$ вершин, соединенных $n-1$ тропинками. На вершине горы находится корень дерева. В некоторых вершинах тропинка заканчивается, они являются листами дерева. От каждой вершины, кроме листьев, вниз по склону отходят ровно две тропинки, одна ведет налево, а другая --- направо.
Улитка хочет, начав в корне, спуститься по дереву и добраться до одного из листьев. Она будет спускаться, перемещаясь вниз по тропинкам. В каждой вершине по пути улитка может выбрать одно из двух направлений дальнейшего спуска: налево или направо.
Улитка может начать спуск в корне в любом из двух направлений. В каждой из последующих вершин улитка делает поворот, если она выбрала направление, отличающееся от выбранного в предыдущей вершине.
Улитке неудобно поворачивать, поэтому на всем пути от корня до листа улитка готова сделать не более $k$ поворотов.
Пронумеруем вершины дерева от $1$ до $n$, при этом корень получит номер $1$. Вам дано $q$ запросов. Каждый запрос описывается одной вершиной $u_i$. Требуется найти количество листьев, в которых улитка сможет завершить свой спуск, если она будет спускаться из корня, сделает не более $k$ поворотов, и по пути пройдет через вершину $u_i$.
В первой строке даны три целых числа $n$, $k$ и $q$ --- количество вершин в дереве, максимальное количество поворотов, которое улитка готова сделать, и количество запросов ($3 \le n \le 200\,000$; $0 \le k \le n$; $1 \le q \le 200\,000$).
В следующих $n$ строках дано описание дерева. Первым в $i$-й строке дано целое число $t_i$ --- количество тропинок, выходящих из $i$-й вершины ($t_i = 0$ или $t_i = 2$). Если $t_i = 2$, то далее в той же строке даны два целых числа $l_i$ и $r_i$ --- номера вершин, в которые ведёт соответственно левая и правая тропинка из вершины $i$ ($1 \le l_i, r_i \le n$). Гарантируется, что это описание соответствует подвешенному двоичному дереву с корнем в вершине $1$.
В следующих $q$ строках даны запросы. В $i$-й строке дано одно целое число $u_i$ --- номер вершины, через которую должна пройти улитка на своем пути ($1 \le u_i \le n$).
Для каждого запроса, выведите ответ на него в новой строке --- количество листьев, в которых улитка может завершить свой маршрут, если она начинает в корне, спускается вниз, на своем пути совершает не больше $k$ поворотов и проходит через вершину $u_i$.
| 번호 | 배점 | 제한 |
|---|---|---|
| 1 | 11 | $n \le 500$, $q \le 500$, Во всех запросах $u_i$ является листом |
| 2 | 12 | $n \le 500$, $q \le 500$ |
| 3 | 10 | $k = n$ |
| 4 | 14 | $k = 0$ |
| 5 | 19 | Во всех запросах $u_i$ является листом |
| 6 | 34 | Без дополнительных ограничений |
7 1 4 2 2 4 0 2 6 5 2 3 7 0 0 0 1 4 3 5
3 2 1 0
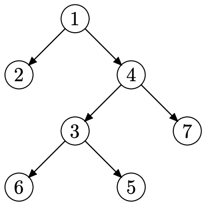
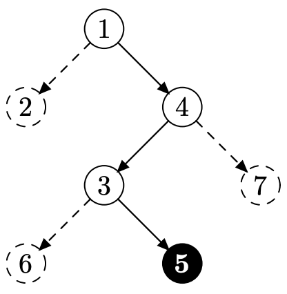
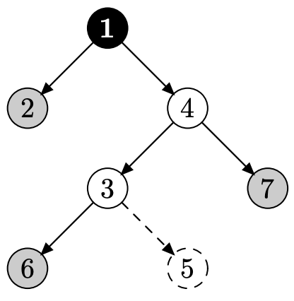
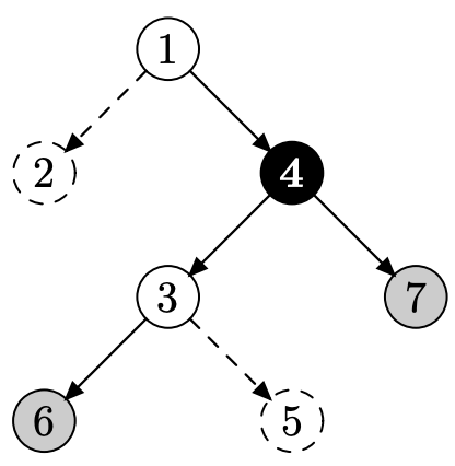
| (a) Структура дерева в тесте из примера. | (b) Улитка должна пройти через вершину $1$, она может завершить путь в листах $2$, $6$ и $7$. |
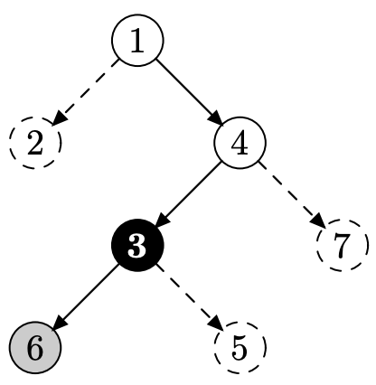
| (c) Улитка должна пройти через $4$, она может завершить путь в $6$ и $7$. | (d) Улитка должна пройти через $3$, она может завершить путь только в листе $6$. |
| (e) Улитка должна пройти через $5$, однако путь до этой вершины уже содержит больше одного поворота. Поэтому не существует листа, в котором улитка могла бы завершить путь, выполнив все ограничения. | |