시간 제한메모리 제한제출정답맞힌 사람정답 비율
1 초 512 MB134450.000%

문제

Albert는 이진 트리 (binary tree)를 이용한 문제를 풀고 있다. $N$개의 노드를 가진 이진 트리 $T$의 노드에는 1부터 $N$까지 번호가 붙어있고, 편의상 길이가 $N$인 배열 2개를 이용하여 각 노드의 왼쪽 자식노드와 오른쪽 자식노드를 표현할 수 있다. 구체적으로 노드 $i$의 왼쪽 (오른쪽) 자식 노드를 $L[i]$ ($R[i]$)라 하고 자식 노드가 없을 경우에는 이 값이 $0$ 이라 정의하자.

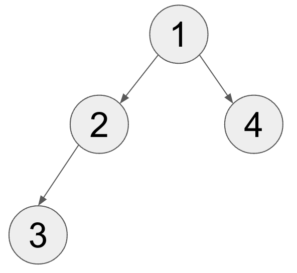
예를 들어 아래 그림은 $N$ = 4 이고 $L = [2, 3, 0, 0]$, $R = [4, 0, 0, 0]$인 경우를 나타낸다.

이 방법을 이용하면 임의의 이진 트리를 두 개의 배열로 표현할 수 있지만, 반대로 임의의 두 정수 배열이 언제나 올바른 이진 트리를 표현하지는 않는다. 이 문제에서 "올바른" 이진 트리란 $T$가 아래 조건을 모두 만족하는 경우를 말한다:

  1. 위에 언급된 방법을 통해 두 정수 배열 $L$, $R$로 표현 가능해야 한다 (즉, 각 노드는 최대 1개의 왼쪽 자식과 최대 1개의 오른쪽 자식을 가질 수 있다)
  2. $T$의 노드 중 단 하나의 노드는 부모가 없으며 (이를 루트 (Root) 노드라 한다), 나머지 $N-1$개의 노드는 고유한 부모가 있어야 한다
  3. 루트 노드에서 시작하여 다른 모든 노드에 도달할 방법이 있다.

예를 들어 $L = [2, 0, 0, 0]$ 이고 $R = [0, 0, 0, 3]$인 경우 아래 처럼 두 개의 루트 노드가 있으므로 올바른 이진 트리가 아니다.

다른 예로, $L = [2, 1, 0, 0]$ 인 경우 $R$값에 관계 없이 노드1의 왼쪽 자식이 노드2이며 동시에 노드2의 왼쪽 자식이 1인 경우는 올바른 이진 트리가 아니다 - 이 경우 어떻게 하더라도 상기한 모든 조건을 만족할 수 없다.

Albert는 이를 이용한 새로운 문제를 생각해냈다: 입력으로 길이가 $N$인 두개의 정수 배열 $L$과 $R$이 주어졌을 때, 딱 한 쌍의 원소 값을 교환해서 얻은 새로운 배열이 올바른 이진 트리를 표현하는 경우가 몇 가지 있을까? 이 때, $L$ 배열의 한 쌍의 원소 값을 교환하거나 (즉, $i \neq j$ 일 때 $L[i]$ 와 $L[j]$ 값을 교환), $R$ 배열의 한 쌍의 원소 값을 교환하거나 (즉, $i \neq j$ 일 때 $R[i]$ 와 $R[j]$ 값을 교환), 혹은 $L$ 배열과 $R$ 배열의 원소 하나씩의 값을 교환할 수 있다 (즉, $L[i]$ 와 $R[j]$를 교환 - 이 때 $i = j$도 가능).

예를 들어 $N$ = 3 이고 $L = [2, 0, 0]$, $R = [3, 0, 0]$인 경우, 아래와 같은 11가지 다른 방법으로 한 쌍의 원소 값을 교환하여 새로 얻은 배열이 올바른 이진 트리를 표현하도록 할 수 있다.

  • L[1] 와 L[3] 를 교환: $L = [0, 0, 2]$, $R = [3, 0, 0]$ (아래 그림의 Tree 1)
  • L[1] 와 R[1] 를 교환: $L = [3, 0, 0]$, $R = [2, 0, 0]$ (아래 그림의 Tree 2)
  • L[1] 와 R[3] 를 교환: $L = [0, 0, 0]$, $R = [3, 0, 2]$ (아래 그림의 Tree 3)
  • L[2] 와 L[3] 를 교환: $L = [2, 0, 0]$, $R = [3, 0, 0]$ (아래 그림의 Tree 6)
  • L[2] 와 R[1] 를 교환: $L = [2, 3, 0]$, $R = [0, 0, 0]$ (아래 그림의 Tree 4)
  • L[2] 와 R[2] 를 교환: $L = [2, 0, 0]$, $R = [3, 0, 0]$ (아래 그림의 Tree 6)
  • L[2] 와 R[3] 를 교환: $L = [2, 0, 0]$, $R = [3, 0, 0]$ (아래 그림의 Tree 6)
  • L[3] 와 R[2] 를 교환: $L = [2, 0, 0]$, $R = [3, 0, 0]$ (아래 그림의 Tree 6)
  • L[3] 와 R[3] 를 교환: $L = [2, 0, 0]$, $R = [3, 0, 0]$ (아래 그림의 Tree 6)
  • R[1] 와 R[2] 를 교환: $L = [2, 0, 0]$, $R = [0, 3, 0]$ (아래 그림의 Tree 5)
  • R[2] 와 R[3] 를 교환: $L = [2, 0, 0]$, $R = [3, 0, 0]$ (아래 그림의 Tree 6)

입력으로 길이가 $N$인 두개의 정수 배열 $L$과 $R$이 주어졌을 때, 임의의 한 쌍의 원소 값을 교환하여 얻은 새로운 배열이 올바른 이진트리가 되는 경우의 수를 구해보자.

입력

첫 줄에 테스트 케이스의 수 $T$가 주어진다.

각 테스트 케이스의 첫 줄에는 노드의 개수 $N$이 주어진다. 둘째 줄에 배열 $L$의 원소 값인 $N$개의 정수가 공백으로 구분되어 주어진다. 셋째 줄에 배열 $R$의 원소 값인 $N$개의 정수가 공백으로 구분되어 주어진다.

출력

각 테스트 케이스의 정답을 각 줄에 출력한다.

제한

  • $1 \le T \le 20$
  • $2 \le N \le 10^5$
  • $1 \le i \le N$ 인 $i$에 대하여:
    • $0 \le L[i], R[i] \le N$
    • $L[i] \neq i$
    • $R[i] \neq i$

예제 입력 1

7
6
0 5 6 2 0 3
0 0 0 0 0 1
7
0 0 1 7 4 3 5
0 0 6 0 0 0 0
2
2 0
0 0
4
0 3 0 0
2 1 4 0
4
2 1 4 0
0 0 0 0
4
2 3 4 0
0 0 0 0
4
2 3 0 0
4 0 0 0

예제 출력 1

12
0
4
0
8
16
20

예제 1: 추가 설명 없음

예제 2: 추가 설명 없음

예제 3: 아래와 같은 4가지 방법이 존재한다:

  • L[1] 와 R[1] 를 교환: $L = [0, 0]$, $R = [2, 0]$.
  • L[2] 와 R[1] 를 교환: $L = [2, 0]$, $R = [0, 0]$.
  • L[2] 와 R[2] 를 교환: $L = [2, 0]$, $R = [0, 0]$.
  • R[1] 와 R[2] 를 교환: $L = [2, 0]$, $R = [0, 0]$.

예제 4: 추가 설명 없음

예제 5: 입력으로 주어지는 $L$, $R$이 올바른 이진트리가 아니더라도 한 쌍의 원소값을 교환한 후에 올바른 이진트리를 얻을 수도 있음에 유의하자.

예제 6: 추가 설명 없음

예제 7: 추가 설명 없음

W3sicHJvYmxlbV9pZCI6IjMxNDU0IiwicHJvYmxlbV9sYW5nIjoiMCIsInRpdGxlIjoiXHVjNzc0XHVjOWM0IFx1ZDJiOFx1YjlhYyIsImRlc2NyaXB0aW9uIjoiPHA+QWxiZXJ0XHViMjk0IFx1Yzc3NFx1YzljNCBcdWQyYjhcdWI5YWMgKGJpbmFyeSB0cmVlKVx1Yjk3YyBcdWM3NzRcdWM2YTlcdWQ1NWMgXHViYjM4XHVjODFjXHViOTdjIFx1ZDQ4MFx1YWNlMCBcdWM3ODhcdWIyZTQuICROJFx1YWMxY1x1Yzc1OCBcdWIxNzhcdWI0ZGNcdWI5N2MgXHVhYzAwXHVjOWM0IFx1Yzc3NFx1YzljNCBcdWQyYjhcdWI5YWMgJFQkXHVjNzU4IFx1YjE3OFx1YjRkY1x1YzVkMFx1YjI5NCAxXHViZDgwXHVkMTMwICROJFx1YWU0Y1x1YzljMCBcdWJjODhcdWQ2MzhcdWFjMDAgXHViZDk5XHVjNWI0XHVjNzg4XHVhY2UwLCBcdWQzYjhcdWM3NThcdWMwYzEgXHVhZTM4XHVjNzc0XHVhYzAwICROJFx1Yzc3OCBcdWJjMzBcdWM1ZjQgMlx1YWMxY1x1Yjk3YyBcdWM3NzRcdWM2YTlcdWQ1NThcdWM1ZWMgXHVhYzAxIFx1YjE3OFx1YjRkY1x1Yzc1OCBcdWM2N2NcdWNhYmQgXHVjNzkwXHVjMmRkXHViMTc4XHViNGRjXHVjNjQwIFx1YzYyNFx1Yjk3OFx1Y2FiZCBcdWM3OTBcdWMyZGRcdWIxNzhcdWI0ZGNcdWI5N2MgXHVkNDVjXHVkNjA0XHVkNTYwIFx1YzIxOCBcdWM3ODhcdWIyZTQuIFx1YWQ2Y1x1Y2NiNFx1YzgwMVx1YzczY1x1Yjg1YyBcdWIxNzhcdWI0ZGMgJGkkXHVjNzU4IFx1YzY3Y1x1Y2FiZCAoXHVjNjI0XHViOTc4XHVjYWJkKSBcdWM3OTBcdWMyZGQgXHViMTc4XHViNGRjXHViOTdjICRMW2ldJCAoJFJbaV0kKVx1Yjc3YyBcdWQ1NThcdWFjZTAgXHVjNzkwXHVjMmRkIFx1YjE3OFx1YjRkY1x1YWMwMCBcdWM1YzZcdWM3NDQgXHVhY2JkXHVjNmIwXHVjNWQwXHViMjk0IFx1Yzc3NCBcdWFjMTJcdWM3NzQgJDAkIFx1Yzc3NFx1Yjc3YyBcdWM4MTVcdWM3NThcdWQ1NThcdWM3OTAuPFwvcD5cclxuXHJcbjxwPlx1YzYwOFx1Yjk3YyBcdWI0ZTRcdWM1YjQgXHVjNTQ0XHViNzk4IFx1YWRmOFx1YjliY1x1Yzc0MCAkTiQgPSA0IFx1Yzc3NFx1YWNlMCAkTCA9IFsyLCAzLCAwLCAwXSQsICRSID0gWzQsIDAsIDAsIDBdJFx1Yzc3OCBcdWFjYmRcdWM2YjBcdWI5N2MgXHViMDk4XHVkMGMwXHViMGI4XHViMmU0LjxcL3A+XHJcblxyXG48cCBzdHlsZT1cInRleHQtYWxpZ246IGNlbnRlcjtcIj48aW1nIGFsdD1cIlwiIHNyYz1cImh0dHBzOlwvXC91cGxvYWQuYWNtaWNwYy5uZXRcLzkyOWRkMmMzLWRlMDgtNDQ5NS05MTUxLWViZWU3MTA3MjhmMVwvLVwvcHJldmlld1wvXCIgc3R5bGU9XCJoZWlnaHQ6IDE4NHB4OyB3aWR0aDogMjAwcHg7XCIgXC8+PFwvcD5cclxuXHJcbjxwPlx1Yzc3NCBcdWJjMjlcdWJjOTVcdWM3NDQgXHVjNzc0XHVjNmE5XHVkNTU4XHViYTc0IFx1Yzc4NFx1Yzc1OFx1Yzc1OCBcdWM3NzRcdWM5YzQgXHVkMmI4XHViOWFjXHViOTdjIFx1YjQ1MCBcdWFjMWNcdWM3NTggXHViYzMwXHVjNWY0XHViODVjIFx1ZDQ1Y1x1ZDYwNFx1ZDU2MCBcdWMyMTggXHVjNzg4XHVjOWMwXHViOWNjLCBcdWJjMThcdWIzMDBcdWI4NWMgXHVjNzg0XHVjNzU4XHVjNzU4IFx1YjQ1MCBcdWM4MTVcdWMyMTggXHViYzMwXHVjNWY0XHVjNzc0IFx1YzViOFx1YzgxY1x1YjA5OCBcdWM2MmNcdWJjMTRcdWI5NzggXHVjNzc0XHVjOWM0IFx1ZDJiOFx1YjlhY1x1Yjk3YyBcdWQ0NWNcdWQ2MDRcdWQ1NThcdWM5YzBcdWIyOTQgXHVjNTRhXHViMjk0XHViMmU0LiBcdWM3NzQgXHViYjM4XHVjODFjXHVjNWQwXHVjMTFjICZxdW90O1x1YzYyY1x1YmMxNFx1Yjk3OCZxdW90OyBcdWM3NzRcdWM5YzQgXHVkMmI4XHViOWFjXHViNzgwICRUJFx1YWMwMCBcdWM1NDRcdWI3OTggXHVjODcwXHVhYzc0XHVjNzQ0IFx1YmFhOFx1YjQ1MCBcdWI5Y2NcdWM4NzFcdWQ1NThcdWIyOTQgXHVhY2JkXHVjNmIwXHViOTdjIFx1YjlkMFx1ZDU1Y1x1YjJlNDo8XC9wPlxyXG5cclxuPG9sPlxyXG5cdDxsaT5cdWM3MDRcdWM1ZDAgXHVjNWI4XHVhZTA5XHViNDFjIFx1YmMyOVx1YmM5NVx1Yzc0NCBcdWQxYjVcdWQ1NzQgXHViNDUwIFx1YzgxNVx1YzIxOCBcdWJjMzBcdWM1ZjQgJEwkLCAkUiRcdWI4NWMgXHVkNDVjXHVkNjA0IFx1YWMwMFx1YjJhNVx1ZDU3NFx1YzU3YyBcdWQ1NWNcdWIyZTQgKFx1Yzk4OSwgXHVhYzAxIFx1YjE3OFx1YjRkY1x1YjI5NCBcdWNkNWNcdWIzMDAgMVx1YWMxY1x1Yzc1OCBcdWM2N2NcdWNhYmQgXHVjNzkwXHVjMmRkXHVhY2ZjIFx1Y2Q1Y1x1YjMwMCAxXHVhYzFjXHVjNzU4IFx1YzYyNFx1Yjk3OFx1Y2FiZCBcdWM3OTBcdWMyZGRcdWM3NDQgXHVhYzAwXHVjOWM4IFx1YzIxOCBcdWM3ODhcdWIyZTQpPFwvbGk+XHJcblx0PGxpPiRUJFx1Yzc1OCBcdWIxNzhcdWI0ZGMgXHVjOTExIFx1YjJlOCBcdWQ1NThcdWIwOThcdWM3NTggXHViMTc4XHViNGRjXHViMjk0IFx1YmQ4MFx1YmFhOFx1YWMwMCBcdWM1YzZcdWM3M2NcdWJhNzAgKFx1Yzc3NFx1Yjk3YyBcdWI4ZThcdWQyYjggKFJvb3QpIFx1YjE3OFx1YjRkY1x1Yjc3YyBcdWQ1NWNcdWIyZTQpLCBcdWIwOThcdWJhMzhcdWM5YzAgJE4tMSRcdWFjMWNcdWM3NTggXHViMTc4XHViNGRjXHViMjk0IFx1YWNlMFx1YzcyMFx1ZDU1YyBcdWJkODBcdWJhYThcdWFjMDAgXHVjNzg4XHVjNWI0XHVjNTdjIFx1ZDU1Y1x1YjJlNDxcL2xpPlxyXG5cdDxsaT5cdWI4ZThcdWQyYjggXHViMTc4XHViNGRjXHVjNWQwXHVjMTFjIFx1YzJkY1x1Yzc5MVx1ZDU1OFx1YzVlYyBcdWIyZTRcdWI5NzggXHViYWE4XHViNGUwIFx1YjE3OFx1YjRkY1x1YzVkMCBcdWIzYzRcdWIyZWNcdWQ1NjAgXHViYzI5XHViYzk1XHVjNzc0IFx1Yzc4OFx1YjJlNC48XC9saT5cclxuPFwvb2w+XHJcblxyXG48cD5cdWM2MDhcdWI5N2MgXHViNGU0XHVjNWI0ICRMID0gWzIsIDAsIDAsIDBdJCBcdWM3NzRcdWFjZTAgJFIgPSBbMCwgMCwgMCwgM10kXHVjNzc4IFx1YWNiZFx1YzZiMCBcdWM1NDRcdWI3OTggXHVjYzk4XHViN2ZjIFx1YjQ1MCBcdWFjMWNcdWM3NTggXHViOGU4XHVkMmI4IFx1YjE3OFx1YjRkY1x1YWMwMCBcdWM3ODhcdWM3M2NcdWJiYzBcdWI4NWMgXHVjNjJjXHViYzE0XHViOTc4IFx1Yzc3NFx1YzljNCBcdWQyYjhcdWI5YWNcdWFjMDAgXHVjNTQ0XHViMmM4XHViMmU0LjxcL3A+XHJcblxyXG48cCBzdHlsZT1cInRleHQtYWxpZ246IGNlbnRlcjtcIj48aW1nIGFsdD1cIlwiIHNyYz1cImh0dHBzOlwvXC91cGxvYWQuYWNtaWNwYy5uZXRcL2IyNWE5NDg5LTVjMzYtNDFjZi1iMDkyLTIzY2Q3Zjk5ODU5N1wvLVwvcHJldmlld1wvXCIgc3R5bGU9XCJoZWlnaHQ6IDExOXB4OyB3aWR0aDogMjUwcHg7XCIgXC8+PFwvcD5cclxuXHJcbjxwPlx1YjJlNFx1Yjk3OCBcdWM2MDhcdWI4NWMsICRMID0gWzIsIDEsIDAsIDBdJCBcdWM3NzggXHVhY2JkXHVjNmIwICRSJFx1YWMxMlx1YzVkMCBcdWFkMDBcdWFjYzQgXHVjNWM2XHVjNzc0IFx1YjE3OFx1YjRkYzFcdWM3NTggXHVjNjdjXHVjYWJkIFx1Yzc5MFx1YzJkZFx1Yzc3NCBcdWIxNzhcdWI0ZGMyXHVjNzc0XHViYTcwIFx1YjNkOVx1YzJkY1x1YzVkMCBcdWIxNzhcdWI0ZGMyXHVjNzU4IFx1YzY3Y1x1Y2FiZCBcdWM3OTBcdWMyZGRcdWM3NzQgMVx1Yzc3OCBcdWFjYmRcdWM2YjBcdWIyOTQgXHVjNjJjXHViYzE0XHViOTc4IFx1Yzc3NFx1YzljNCBcdWQyYjhcdWI5YWNcdWFjMDAgXHVjNTQ0XHViMmM4XHViMmU0IC0gXHVjNzc0IFx1YWNiZFx1YzZiMCBcdWM1YjRcdWI1YmJcdWFjOGMgXHVkNTU4XHViMzU0XHViNzdjXHViM2M0IFx1YzBjMVx1YWUzMFx1ZDU1YyBcdWJhYThcdWI0ZTAgXHVjODcwXHVhYzc0XHVjNzQ0IFx1YjljY1x1Yzg3MVx1ZDU2MCBcdWMyMTggXHVjNWM2XHViMmU0LjxcL3A+XHJcblxyXG48cD5BbGJlcnRcdWIyOTQgXHVjNzc0XHViOTdjIFx1Yzc3NFx1YzZhOVx1ZDU1YyBcdWMwYzhcdWI4NWNcdWM2YjQgXHViYjM4XHVjODFjXHViOTdjIFx1YzBkZFx1YWMwMVx1ZDU3NFx1YjBjOFx1YjJlNDogXHVjNzg1XHViODI1XHVjNzNjXHViODVjIFx1YWUzOFx1Yzc3NFx1YWMwMCAkTiRcdWM3NzggXHViNDUwXHVhYzFjXHVjNzU4IFx1YzgxNVx1YzIxOCBcdWJjMzBcdWM1ZjQgJEwkXHVhY2ZjICRSJFx1Yzc3NCBcdWM4ZmNcdWM1YjRcdWM4NGNcdWM3NDQgXHViNTRjLCBcdWI1MzEgXHVkNTVjIFx1YzMwZFx1Yzc1OCBcdWM2ZDBcdWMxOGMgXHVhYzEyXHVjNzQ0IFx1YWQ1MFx1ZDY1OFx1ZDU3NFx1YzExYyBcdWM1YmJcdWM3NDAgXHVjMGM4XHViODVjXHVjNmI0IFx1YmMzMFx1YzVmNFx1Yzc3NCBcdWM2MmNcdWJjMTRcdWI5NzggXHVjNzc0XHVjOWM0IFx1ZDJiOFx1YjlhY1x1Yjk3YyBcdWQ0NWNcdWQ2MDRcdWQ1NThcdWIyOTQgXHVhY2JkXHVjNmIwXHVhYzAwIFx1YmE4NyBcdWFjMDBcdWM5YzAgXHVjNzg4XHVjNzQ0XHVhZTRjPyBcdWM3NzQgXHViNTRjLCAkTCQgXHViYzMwXHVjNWY0XHVjNzU4IFx1ZDU1YyBcdWMzMGRcdWM3NTggXHVjNmQwXHVjMThjIFx1YWMxMlx1Yzc0NCBcdWFkNTBcdWQ2NThcdWQ1NThcdWFjNzBcdWIwOTggKFx1Yzk4OSwgJGkgXFxuZXEgaiQgXHVjNzdjIFx1YjU0YyAkTFtpXSQgXHVjNjQwICRMW2pdJCBcdWFjMTJcdWM3NDQgXHVhZDUwXHVkNjU4KSwgJFIkIFx1YmMzMFx1YzVmNFx1Yzc1OCBcdWQ1NWMgXHVjMzBkXHVjNzU4IFx1YzZkMFx1YzE4YyBcdWFjMTJcdWM3NDQgXHVhZDUwXHVkNjU4XHVkNTU4XHVhYzcwXHViMDk4IChcdWM5ODksICRpIFxcbmVxIGokIFx1Yzc3YyBcdWI1NGMgJFJbaV0kIFx1YzY0MCAkUltqXSQgXHVhYzEyXHVjNzQ0IFx1YWQ1MFx1ZDY1OCksIFx1ZDYzOVx1Yzc0MCAkTCQgXHViYzMwXHVjNWY0XHVhY2ZjICRSJCBcdWJjMzBcdWM1ZjRcdWM3NTggXHVjNmQwXHVjMThjIFx1ZDU1OFx1YjA5OFx1YzUyOVx1Yzc1OCBcdWFjMTJcdWM3NDQgXHVhZDUwXHVkNjU4XHVkNTYwIFx1YzIxOCBcdWM3ODhcdWIyZTQgKFx1Yzk4OSwgJExbaV0kIFx1YzY0MCAkUltqXSRcdWI5N2MgXHVhZDUwXHVkNjU4IC0gXHVjNzc0IFx1YjU0YyAkaSA9IGokXHViM2M0IFx1YWMwMFx1YjJhNSkuPFwvcD5cclxuXHJcbjxwPlx1YzYwOFx1Yjk3YyBcdWI0ZTRcdWM1YjQgJE4kID0gMyBcdWM3NzRcdWFjZTAgJEwgPSBbMiwgMCwgMF0kLCAkUiA9IFszLCAwLCAwXSRcdWM3NzggXHVhY2JkXHVjNmIwLCBcdWM1NDRcdWI3OThcdWM2NDAgXHVhYzE5XHVjNzQwIDExXHVhYzAwXHVjOWMwIFx1YjJlNFx1Yjk3OCBcdWJjMjlcdWJjOTVcdWM3M2NcdWI4NWMgXHVkNTVjIFx1YzMwZFx1Yzc1OCBcdWM2ZDBcdWMxOGMgXHVhYzEyXHVjNzQ0IFx1YWQ1MFx1ZDY1OFx1ZDU1OFx1YzVlYyBcdWMwYzhcdWI4NWMgXHVjNWJiXHVjNzQwIFx1YmMzMFx1YzVmNFx1Yzc3NCBcdWM2MmNcdWJjMTRcdWI5NzggXHVjNzc0XHVjOWM0IFx1ZDJiOFx1YjlhY1x1Yjk3YyBcdWQ0NWNcdWQ2MDRcdWQ1NThcdWIzYzRcdWI4NWQgXHVkNTYwIFx1YzIxOCBcdWM3ODhcdWIyZTQuPFwvcD5cclxuXHJcbjx1bD5cclxuXHQ8bGk+TFsxXSBcdWM2NDAgTFszXSBcdWI5N2MgXHVhZDUwXHVkNjU4OiAkTCA9IFswLCAwLCAyXSQsICRSID0gWzMsIDAsIDBdJCAoXHVjNTQ0XHViNzk4IFx1YWRmOFx1YjliY1x1Yzc1OCBUcmVlIDEpPFwvbGk+XHJcblx0PGxpPkxbMV0gXHVjNjQwIFJbMV0gXHViOTdjIFx1YWQ1MFx1ZDY1ODogJEwgPSBbMywgMCwgMF0kLCAkUiA9IFsyLCAwLCAwXSQgKFx1YzU0NFx1Yjc5OCBcdWFkZjhcdWI5YmNcdWM3NTggVHJlZSAyKTxcL2xpPlxyXG5cdDxsaT5MWzFdIFx1YzY0MCBSWzNdIFx1Yjk3YyBcdWFkNTBcdWQ2NTg6ICRMID0gWzAsIDAsIDBdJCwgJFIgPSBbMywgMCwgMl0kIChcdWM1NDRcdWI3OTggXHVhZGY4XHViOWJjXHVjNzU4IFRyZWUgMyk8XC9saT5cclxuXHQ8bGk+TFsyXSBcdWM2NDAgTFszXSBcdWI5N2MgXHVhZDUwXHVkNjU4OiAkTCA9IFsyLCAwLCAwXSQsICRSID0gWzMsIDAsIDBdJCAoXHVjNTQ0XHViNzk4IFx1YWRmOFx1YjliY1x1Yzc1OCBUcmVlIDYpPFwvbGk+XHJcblx0PGxpPkxbMl0gXHVjNjQwIFJbMV0gXHViOTdjIFx1YWQ1MFx1ZDY1ODogJEwgPSBbMiwgMywgMF0kLCAkUiA9IFswLCAwLCAwXSQgKFx1YzU0NFx1Yjc5OCBcdWFkZjhcdWI5YmNcdWM3NTggVHJlZSA0KTxcL2xpPlxyXG5cdDxsaT5MWzJdIFx1YzY0MCBSWzJdIFx1Yjk3YyBcdWFkNTBcdWQ2NTg6ICRMID0gWzIsIDAsIDBdJCwgJFIgPSBbMywgMCwgMF0kIChcdWM1NDRcdWI3OTggXHVhZGY4XHViOWJjXHVjNzU4IFRyZWUgNik8XC9saT5cclxuXHQ8bGk+TFsyXSBcdWM2NDAgUlszXSBcdWI5N2MgXHVhZDUwXHVkNjU4OiAkTCA9IFsyLCAwLCAwXSQsICRSID0gWzMsIDAsIDBdJCAoXHVjNTQ0XHViNzk4IFx1YWRmOFx1YjliY1x1Yzc1OCBUcmVlIDYpPFwvbGk+XHJcblx0PGxpPkxbM10gXHVjNjQwIFJbMl0gXHViOTdjIFx1YWQ1MFx1ZDY1ODogJEwgPSBbMiwgMCwgMF0kLCAkUiA9IFszLCAwLCAwXSQgKFx1YzU0NFx1Yjc5OCBcdWFkZjhcdWI5YmNcdWM3NTggVHJlZSA2KTxcL2xpPlxyXG5cdDxsaT5MWzNdIFx1YzY0MCBSWzNdIFx1Yjk3YyBcdWFkNTBcdWQ2NTg6ICRMID0gWzIsIDAsIDBdJCwgJFIgPSBbMywgMCwgMF0kIChcdWM1NDRcdWI3OTggXHVhZGY4XHViOWJjXHVjNzU4IFRyZWUgNik8XC9saT5cclxuXHQ8bGk+UlsxXSBcdWM2NDAgUlsyXSBcdWI5N2MgXHVhZDUwXHVkNjU4OiAkTCA9IFsyLCAwLCAwXSQsICRSID0gWzAsIDMsIDBdJCAoXHVjNTQ0XHViNzk4IFx1YWRmOFx1YjliY1x1Yzc1OCBUcmVlIDUpPFwvbGk+XHJcblx0PGxpPlJbMl0gXHVjNjQwIFJbM10gXHViOTdjIFx1YWQ1MFx1ZDY1ODogJEwgPSBbMiwgMCwgMF0kLCAkUiA9IFszLCAwLCAwXSQgKFx1YzU0NFx1Yjc5OCBcdWFkZjhcdWI5YmNcdWM3NTggVHJlZSA2KTxcL2xpPlxyXG48XC91bD5cclxuXHJcbjxwIHN0eWxlPVwidGV4dC1hbGlnbjogY2VudGVyO1wiPjxpbWcgYWx0PVwiXCIgc3JjPVwiaHR0cHM6XC9cL3VwbG9hZC5hY21pY3BjLm5ldFwvNTQzOThlMGQtNDBhMi00N2E1LWI1NzUtNGM4MTg4NjdiOTI0XC8tXC9wcmV2aWV3XC9cIiBzdHlsZT1cImhlaWdodDogMjc2cHg7IHdpZHRoOiA2MDBweDtcIiBcLz48XC9wPlxyXG5cclxuPHAgc3R5bGU9XCJ0ZXh0LWFsaWduOiBjZW50ZXI7XCI+PGltZyBhbHQ9XCJcIiBzcmM9XCJodHRwczpcL1wvdXBsb2FkLmFjbWljcGMubmV0XC8xZTFlZjgxYi1mNzlkLTRjZGQtODExMC05M2NhY2VkOTliODZcLy1cL3ByZXZpZXdcL1wiIHN0eWxlPVwiaGVpZ2h0OiAyODRweDsgd2lkdGg6IDYwMHB4O1wiIFwvPjxcL3A+XHJcblxyXG48cD5cdWM3ODVcdWI4MjVcdWM3M2NcdWI4NWMgXHVhZTM4XHVjNzc0XHVhYzAwICROJFx1Yzc3OCBcdWI0NTBcdWFjMWNcdWM3NTggXHVjODE1XHVjMjE4IFx1YmMzMFx1YzVmNCAkTCRcdWFjZmMgJFIkXHVjNzc0IFx1YzhmY1x1YzViNFx1Yzg0Y1x1Yzc0NCBcdWI1NGMsIFx1Yzc4NFx1Yzc1OFx1Yzc1OCBcdWQ1NWMgXHVjMzBkXHVjNzU4IFx1YzZkMFx1YzE4YyBcdWFjMTJcdWM3NDQgXHVhZDUwXHVkNjU4XHVkNTU4XHVjNWVjIFx1YzViYlx1Yzc0MCBcdWMwYzhcdWI4NWNcdWM2YjQgXHViYzMwXHVjNWY0XHVjNzc0IFx1YzYyY1x1YmMxNFx1Yjk3OCBcdWM3NzRcdWM5YzRcdWQyYjhcdWI5YWNcdWFjMDAgXHViNDE4XHViMjk0IFx1YWNiZFx1YzZiMFx1Yzc1OCBcdWMyMThcdWI5N2MgXHVhZDZjXHVkNTc0XHViY2Y0XHVjNzkwLjxcL3A+XHJcbiIsImlucHV0IjoiPHA+XHVjY2FiIFx1YzkwNFx1YzVkMCBcdWQxNGNcdWMyYTRcdWQyYjggXHVjZjAwXHVjNzc0XHVjMmE0XHVjNzU4IFx1YzIxOCAkVCRcdWFjMDAgXHVjOGZjXHVjNWI0XHVjOWM0XHViMmU0LjxcL3A+XHJcblxyXG48cD5cdWFjMDEgXHVkMTRjXHVjMmE0XHVkMmI4IFx1Y2YwMFx1Yzc3NFx1YzJhNFx1Yzc1OCBcdWNjYWIgXHVjOTA0XHVjNWQwXHViMjk0IFx1YjE3OFx1YjRkY1x1Yzc1OCBcdWFjMWNcdWMyMTggJE4kXHVjNzc0IFx1YzhmY1x1YzViNFx1YzljNFx1YjJlNC4gXHViNDU4XHVjOWY4IFx1YzkwNFx1YzVkMCBcdWJjMzBcdWM1ZjQgJEwkXHVjNzU4IFx1YzZkMFx1YzE4YyBcdWFjMTJcdWM3NzggJE4kXHVhYzFjXHVjNzU4IFx1YzgxNVx1YzIxOFx1YWMwMCBcdWFjZjVcdWJjMzFcdWM3M2NcdWI4NWMgXHVhZDZjXHViZDg0XHViNDE4XHVjNWI0IFx1YzhmY1x1YzViNFx1YzljNFx1YjJlNC4gXHVjMTRiXHVjOWY4IFx1YzkwNFx1YzVkMCBcdWJjMzBcdWM1ZjQgJFIkXHVjNzU4IFx1YzZkMFx1YzE4YyBcdWFjMTJcdWM3NzggJE4kXHVhYzFjXHVjNzU4IFx1YzgxNVx1YzIxOFx1YWMwMCBcdWFjZjVcdWJjMzFcdWM3M2NcdWI4NWMgXHVhZDZjXHViZDg0XHViNDE4XHVjNWI0IFx1YzhmY1x1YzViNFx1YzljNFx1YjJlNC48XC9wPlxyXG4iLCJvdXRwdXQiOiI8cD5cdWFjMDEgXHVkMTRjXHVjMmE0XHVkMmI4IFx1Y2YwMFx1Yzc3NFx1YzJhNFx1Yzc1OCBcdWM4MTVcdWIyZjVcdWM3NDQgXHVhYzAxIFx1YzkwNFx1YzVkMCBcdWNkOWNcdWI4MjVcdWQ1NWNcdWIyZTQuPFwvcD5cclxuIiwiaGludCI6IiIsIm9yaWdpbmFsIjoiMSIsImh0bWxfdGl0bGUiOiIwIiwicHJvYmxlbV9sYW5nX3Rjb2RlIjoiS29yZWFuIiwibGltaXQiOiI8dWw+XHJcblx0PGxpPiQxIFxcbGUgVCBcXGxlIDIwJDxcL2xpPlxyXG5cdDxsaT4kMiBcXGxlIE4gXFxsZSAxMF41JDxcL2xpPlxyXG5cdDxsaT4kMSBcXGxlIGkgXFxsZSBOJCBcdWM3NzggJGkkXHVjNWQwIFx1YjMwMFx1ZDU1OFx1YzVlYzpcclxuXHQ8dWw+XHJcblx0XHQ8bGk+JDAgXFxsZSBMW2ldLCBSW2ldIFxcbGUgTiQ8XC9saT5cclxuXHRcdDxsaT4kTFtpXSBcXG5lcSBpJDxcL2xpPlxyXG5cdFx0PGxpPiRSW2ldIFxcbmVxIGkkPFwvbGk+XHJcblx0PFwvdWw+XHJcblx0PFwvbGk+XHJcbjxcL3VsPlxyXG4iLCJzYW1wbGVfZXhwbGFpbl8xIjoiPHA+XHVjNjA4XHVjODFjIDE6IFx1Y2Q5NFx1YWMwMCBcdWMxMjRcdWJhODUgXHVjNWM2XHVjNzRjPFwvcD5cclxuXHJcbjxwPlx1YzYwOFx1YzgxYyAyOiBcdWNkOTRcdWFjMDAgXHVjMTI0XHViYTg1IFx1YzVjNlx1Yzc0YzxcL3A+XHJcblxyXG48cD5cdWM2MDhcdWM4MWMgMzogXHVjNTQ0XHViNzk4XHVjNjQwIFx1YWMxOVx1Yzc0MCA0XHVhYzAwXHVjOWMwIFx1YmMyOVx1YmM5NVx1Yzc3NCBcdWM4NzRcdWM3YWNcdWQ1NWNcdWIyZTQ6PFwvcD5cclxuXHJcbjx1bD5cclxuXHQ8bGk+TFsxXSBcdWM2NDAgUlsxXSBcdWI5N2MgXHVhZDUwXHVkNjU4OiAkTCA9IFswLCAwXSQsICRSID0gWzIsIDBdJC48XC9saT5cclxuXHQ8bGk+TFsyXSBcdWM2NDAgUlsxXSBcdWI5N2MgXHVhZDUwXHVkNjU4OiAkTCA9IFsyLCAwXSQsICRSID0gWzAsIDBdJC48XC9saT5cclxuXHQ8bGk+TFsyXSBcdWM2NDAgUlsyXSBcdWI5N2MgXHVhZDUwXHVkNjU4OiAkTCA9IFsyLCAwXSQsICRSID0gWzAsIDBdJC48XC9saT5cclxuXHQ8bGk+UlsxXSBcdWM2NDAgUlsyXSBcdWI5N2MgXHVhZDUwXHVkNjU4OiAkTCA9IFsyLCAwXSQsICRSID0gWzAsIDBdJC48XC9saT5cclxuPFwvdWw+XHJcblxyXG48cD5cdWM2MDhcdWM4MWMgNDogXHVjZDk0XHVhYzAwIFx1YzEyNFx1YmE4NSBcdWM1YzZcdWM3NGM8XC9wPlxyXG5cclxuPHA+XHVjNjA4XHVjODFjIDU6IFx1Yzc4NVx1YjgyNVx1YzczY1x1Yjg1YyBcdWM4ZmNcdWM1YjRcdWM5YzBcdWIyOTQgJEwkLCAkUiRcdWM3NzQgXHVjNjJjXHViYzE0XHViOTc4IFx1Yzc3NFx1YzljNFx1ZDJiOFx1YjlhY1x1YWMwMCBcdWM1NDRcdWIyYzhcdWIzNTRcdWI3N2NcdWIzYzQgXHVkNTVjIFx1YzMwZFx1Yzc1OCBcdWM2ZDBcdWMxOGNcdWFjMTJcdWM3NDQgXHVhZDUwXHVkNjU4XHVkNTVjIFx1ZDZjNFx1YzVkMCBcdWM2MmNcdWJjMTRcdWI5NzggXHVjNzc0XHVjOWM0XHVkMmI4XHViOWFjXHViOTdjIFx1YzViYlx1Yzc0NCBcdWMyMThcdWIzYzQgXHVjNzg4XHVjNzRjXHVjNWQwIFx1YzcyMFx1Yzc1OFx1ZDU1OFx1Yzc5MC48XC9wPlxyXG5cclxuPHA+XHVjNjA4XHVjODFjIDY6IFx1Y2Q5NFx1YWMwMCBcdWMxMjRcdWJhODUgXHVjNWM2XHVjNzRjPFwvcD5cclxuXHJcbjxwPlx1YzYwOFx1YzgxYyA3OiBcdWNkOTRcdWFjMDAgXHVjMTI0XHViYTg1IFx1YzVjNlx1Yzc0YzxcL3A+XHJcbiJ9LHsicHJvYmxlbV9pZCI6IjMxNDU0IiwicHJvYmxlbV9sYW5nIjoiMSIsInRpdGxlIjoiQmluYXJ5IFRyZWUiLCJkZXNjcmlwdGlvbiI6IjxwPkFsYmVydCBpcyB3b3JraW5nIG9uIGEgcHJvYmxlbSB0aGF0IGludm9sdmVzIGJpbmFyeSB0cmVzcy4gQSBiaW5hcnkgdHJlZSAkVCQgaGFzICROJCBub2RlcyB0aGF0IGFyZSBudW1iZXJlZCBmcm9tICQxJCB0byAkTiQsIGFuZCBmb3IgY29udmVuaWVuY2UsIHdlIGNhbiB1c2UgdHdvIGFycmF5cyBvZiBsZW5ndGggJE4kIHRvIHJlcHJlc2VudCBlYWNoIG5vZGUmIzM5O3MgbGVmdCBjaGlsZCBhbmQgcmlnaHQgY2hpbGQuIFNwZWNpZmljYWxseSwgbGV0ICRMW2ldJCAoJFJbaV0kLCByZXNwZWN0aXZlbHkpIGJlIHRoZSBsZWZ0IChyaWdodCwgcmVzcGVjdGl2ZWx5KSBjaGlsZCBvZiBub2RlICRpJCwgYW5kIGxldCB0aGlzIHZhbHVlIGJlICQwJCBpZiB0aGVyZSBpcyBubyBjaGlsZCBub2RlLjxcL3A+XHJcblxyXG48cD5Gb3IgaW5zdGFuY2UsIHRoZSBwaWN0dXJlIGJlbG93IGRlc2NyaWJlcyB0aGUgdHJlZSB3aGVuJm5ic3A7JE4kID0gNCB3aXRoJm5ic3A7JEwgPSBbMiwgMywgMCwgMF0kIGFuZCZuYnNwOyRSID0gWzQsIDAsIDAsIDBdJC48XC9wPlxyXG5cclxuPHAgc3R5bGU9XCJ0ZXh0LWFsaWduOiBjZW50ZXI7XCI+PGltZyBhbHQ9XCJcIiBzcmM9XCJodHRwczpcL1wvdXBsb2FkLmFjbWljcGMubmV0XC85MjlkZDJjMy1kZTA4LTQ0OTUtOTE1MS1lYmVlNzEwNzI4ZjFcLy1cL3ByZXZpZXdcL1wiIHN0eWxlPVwiaGVpZ2h0OiAxODRweDsgd2lkdGg6IDIwMHB4O1wiIFwvPjxcL3A+XHJcblxyXG48cD5Vc2luZyB0aGlzIHJlcHJlc2VudGF0aW9uLCBvbmUgY2FuIGFsd2F5cyBkZXNjcmliZSBhbiBhcmJpdHJhcnkgYmluYXJ5IHRyZWUgYnkgdHdvIGFycmF5cywgYnV0IG5vdCBhbGwgdHdvIGFycmF5cyBkZXNjcmliZSBhIHZhbGlkIGJpbmFyeSB0cmVlLiBJbiB0aGlzIHByb2JsZW0sIGEgJnF1b3Q7dmFsaWQmcXVvdDsgYmluYXJ5IHRyZWUgbWVhbnMgdGhhdCAkVCQgc2F0aXNmaWVzIGFsbCBvZiB0aGUgZm9sbG93aW5nIGNvbmRpdGlvbnM6PFwvcD5cclxuXHJcbjxvbD5cclxuXHQ8bGk+SXQgbXVzdCBiZSBkZXNjcmliYWJsZSBieSB0d28gaW50ZWdlciBhcnJheXMgJEwkIGFuZCAkUiQgKHRoYXQgaXMsIGVhY2ggbm9kZSBjYW4gaGF2ZSBhdCBtb3N0IG9uZSBsZWZ0IGNoaWxkIGFuZCBhdCBtb3N0IG9uZSByaWdodCBjaGlsZCk8XC9saT5cclxuXHQ8bGk+RXhhY3RseSBvbmUgbm9kZSBvZiAkVCQgaGFzIG5vIHBhcmVudCAod2hpY2ggd2UgbGFiZWwgYXMgdGhlIFJvb3Qgbm9kZSksIGFuZCBlYWNoIG9mIHRoZSBvdGhlciAkTi0xJCBub2RlcyBtdXN0IGhhdmUgYSBzb2xlIHBhcmVudCBub2RlPFwvbGk+XHJcblx0PGxpPlRoZXJlIG11c3QgYmUgYSBwYXRoIGZyb20gdGhlIFJvb3Qgbm9kZSB0byBldmVyeSBvdGhlciBub2RlPFwvbGk+XHJcbjxcL29sPlxyXG5cclxuPHA+Rm9yIGluc3RhbmNlLCB3aGVuICRMID0gWzIsIDAsIDAsIDBdJCBhbmQgJFIgPSBbMCwgMCwgMCwgM10kLCB0aGVyZSBhcmUgdHdvIFJvb3Qgbm9kZXMgYXMgc2hvd24gYmVsb3csIHdoaWNoIGlzIG5vdCBhIHZhbGlkIGJpbmFyeSB0cmVlLjxcL3A+XHJcblxyXG48cCBzdHlsZT1cInRleHQtYWxpZ246IGNlbnRlcjtcIj48aW1nIGFsdD1cIlwiIHNyYz1cImh0dHBzOlwvXC91cGxvYWQuYWNtaWNwYy5uZXRcL2IyNWE5NDg5LTVjMzYtNDFjZi1iMDkyLTIzY2Q3Zjk5ODU5N1wvLVwvcHJldmlld1wvXCIgc3R5bGU9XCJoZWlnaHQ6IDExOXB4OyB3aWR0aDogMjUwcHg7XCIgXC8+PFwvcD5cclxuXHJcbjxwPkluIGFub3RoZXIgZXhhbXBsZSwgd2hlbiAkTCA9IFsyLCAxLCAwLCAwXSQsIHJlZ2FyZGxlc3Mgb2YgJFIkLCB3ZSBzZWUgdGhhdCB0aGUgbGVmdCBjaGlsZCBvZiBOb2RlIDEgaXMgTm9kZSAyIGFuZCB0aGUgbGVmdCBjaGlsZCBvZiBOb2RlIDIgaXMgTm9kZSAxLCB3aGljaCBpcyBhbiBpbnZhbGlkIHRyZWUgLS0gdGhlcmUgaXMgbm8gd2F5IHRvIHNhdGlzZnkgdGhlIGFmb3JlbWVudGlvbmVkIGNvbmRpdGlvbnMuPFwvcD5cclxuXHJcbjxwPkFsYmVydCB3YXMgaW5zcGlyZWQgYW5kIGNhbWUgdXAgd2l0aCBhIG5ldyBwcm9ibGVtOiBHaXZlbiB0d28gaW50ZWdlciBhcnJheXMgJEwkIGFuZCAkUiQgb2YgbGVuZ3RoICROJCwgaW4gaG93IG1hbnkgZGlmZmVyZW50IHdheXMgaGUgY2FuIHN3YXAgYSBwYWlyIG9mIHZhbHVlcyBzdWNoIHRoYXQgdGhlIHJlc3VsdGluZyBhcnJheXMgd291bGQgZGVzY3JpYmUgYSB2YWxpZCBiaW5hcnkgdHJlZT8gSW4gdGhpcyBjYXNlLCBoZSBjb3VsZCBzd2FwIGEgcGFpciBvZiB2YWx1ZXMgd2l0aGluICRMJCAodGhhdCBpcywgc3dhcCAkTFtpXSQgYW5kICRMW2pdJCB3aXRoJm5ic3A7JGkgXFxuZXEgaiQpLCBhIHBhaXIgb2YgdmFsdWVzIHdpdGhpbiAkUiQgKHRoYXQgaXMsIHN3YXAgJFJbaV0kIGFuZCAkUltqXSQgd2l0aCAkaSBcXG5lcSBqJCksIG9yIGEgdmFsdWUgaW4gJEwkIGFuZCBhIHZhbHVlIGluICRSJCAodGhhdCBpcywgc3dhcCAkTFtpXSQgYW5kICRSW2pdJCB3aGVyZSAkaSA9IGokIGlzIGFsbG93ZWQpLjxcL3A+XHJcblxyXG48cD5Gb3IgaW5zdGFuY2UsIHdoZW4mbmJzcDskTiQgPSAzLCAkTCA9IFsyLCAwLCAwXSQgYW5kICRSID0gWzMsIDAsIDBdJCwgdGhlcmUgYXJlIHRoZSBmb2xsb3dpbmcgMTEgd2F5cyB0byBzd2FwIGEgcGFpciBvZiB2YWx1ZXMgYW5kIG9idGFpbiBhIHZhbGlkIGJpbmFyeSB0cmVlIGFzIGEgcmVzdWx0LjxcL3A+XHJcblxyXG48dWw+XHJcblx0PGxpPlN3YXAgTFsxXSBhbmQgTFszXTogJEwgPSBbMCwgMCwgMl0kLCAkUiA9IFszLCAwLCAwXSQgKFNlZSBUcmVlIDEpPFwvbGk+XHJcblx0PGxpPlN3YXAgTFsxXSBhbmQgUlsxXTogJEwgPSBbMywgMCwgMF0kLCAkUiA9IFsyLCAwLCAwXSQgKFNlZSBUcmVlIDIpPFwvbGk+XHJcblx0PGxpPlN3YXAgTFsxXSBhbmQgUlszXTogJEwgPSBbMCwgMCwgMF0kLCAkUiA9IFszLCAwLCAyXSQmbmJzcDsgKFNlZSBUcmVlIDMpPFwvbGk+XHJcblx0PGxpPlN3YXAgTFsyXSBhbmQgTFszXTogJEwgPSBbMiwgMCwgMF0kLCAkUiA9IFszLCAwLCAwXSQmbmJzcDsgKFNlZSBUcmVlIDYpPFwvbGk+XHJcblx0PGxpPlN3YXAgTFsyXSBhbmQgUlsxXTogJEwgPSBbMiwgMywgMF0kLCAkUiA9IFswLCAwLCAwXSQmbmJzcDsgKFNlZSZuYnNwO1RyZWUgNCk8XC9saT5cclxuXHQ8bGk+U3dhcCBMWzJdIGFuZCBSWzJdOiAkTCA9IFsyLCAwLCAwXSQsICRSID0gWzMsIDAsIDBdJCZuYnNwOyAoU2VlIFRyZWUgNik8XC9saT5cclxuXHQ8bGk+U3dhcCBMWzJdIGFuZCBSWzNdOiAkTCA9IFsyLCAwLCAwXSQsICRSID0gWzMsIDAsIDBdJCZuYnNwOyAoU2VlIFRyZWUgNik8XC9saT5cclxuXHQ8bGk+U3dhcCBMWzNdIGFuZCBSWzJdOiAkTCA9IFsyLCAwLCAwXSQsICRSID0gWzMsIDAsIDBdJCZuYnNwOyAoU2VlIFRyZWUgNik8XC9saT5cclxuXHQ8bGk+U3dhcCBMWzNdIGFuZCBSWzNdOiAkTCA9IFsyLCAwLCAwXSQsICRSID0gWzMsIDAsIDBdJCZuYnNwOyAoU2VlIFRyZWUgNik8XC9saT5cclxuXHQ8bGk+U3dhcCBSWzFdIGFuZCBSWzJdOiAkTCA9IFsyLCAwLCAwXSQsICRSID0gWzAsIDMsIDBdJCZuYnNwOyAoU2VlIFRyZWUgNSk8XC9saT5cclxuXHQ8bGk+U3dhcCBSWzJdIGFuZCBSWzNdOiAkTCA9IFsyLCAwLCAwXSQsICRSID0gWzMsIDAsIDBdJCZuYnNwOyAoU2VlIFRyZWUgNik8XC9saT5cclxuPFwvdWw+XHJcblxyXG48cCBzdHlsZT1cInRleHQtYWxpZ246IGNlbnRlcjtcIj48aW1nIGFsdD1cIlwiIHNyYz1cImh0dHBzOlwvXC91cGxvYWQuYWNtaWNwYy5uZXRcLzU0Mzk4ZTBkLTQwYTItNDdhNS1iNTc1LTRjODE4ODY3YjkyNFwvLVwvcHJldmlld1wvXCIgc3R5bGU9XCJoZWlnaHQ6IDI3NnB4OyB3aWR0aDogNjAwcHg7XCIgXC8+PFwvcD5cclxuXHJcbjxwIHN0eWxlPVwidGV4dC1hbGlnbjogY2VudGVyO1wiPjxpbWcgYWx0PVwiXCIgc3JjPVwiaHR0cHM6XC9cL3VwbG9hZC5hY21pY3BjLm5ldFwvMWUxZWY4MWItZjc5ZC00Y2RkLTgxMTAtOTNjYWNlZDk5Yjg2XC8tXC9wcmV2aWV3XC9cIiBzdHlsZT1cImhlaWdodDogMjg0cHg7IHdpZHRoOiA2MDBweDtcIiBcLz48XC9wPlxyXG5cclxuPHA+R2l2ZW4gdHdvIGludGVnZXIgYXJyYXlzICRMJCBhbmQgJFIkIG9mIGxlbmd0aCAkTiQgYXMgaW5wdXQsIGNvbXB1dGUgdGhlIG51bWJlciBvZiB3YXlzIHRvIHN3YXAgYSBwYWlyIG9mIHZhbHVlcyBzdWNoIHRoYXQgdGhlIHJlc3VsdGluZyBhcnJheXMgZGVzY3JpYmUgYSB2YWxpZCBiaW5hcnkgdHJlZS48XC9wPlxyXG4iLCJpbnB1dCI6IjxwPlRoZSBmaXJzdCBsaW5lIG9mIGlucHV0IHdpbGwgY29udGFpbiAkVCQsIHRoZSBudW1iZXIgb2YgdGVzdCBjYXNlcy48XC9wPlxyXG5cclxuPHA+VGhlIGZpcnN0IGxpbmUgb2YgZWFjaCB0ZXN0IGNhc2Ugd2lsbCBjb250YWluICROJCwgdGhlIG51bWJlciBvZiBub2Rlcy4gVGhlIHNlY29uZCBsaW5lIHdpbGwgY29udGFpbiB0aGUgYXJyYXkgJEwkLCBzZXBhcmF0ZWQgYnkgd2hpdGVzcGFjZS4gVGhlIHRoaXJkIGxpbmUgd2lsbCBjb250YWluIHRoZSBhcnJheSAkUiQsIHNlcGFyYXRlZCBieSB3aGl0ZXNwYWNlLjxcL3A+XHJcbiIsIm91dHB1dCI6IjxwPk91dHB1dCBlYWNoIHRlc3QgY2FzZSYjMzk7cyBhbnN3ZXIgaW4gZWFjaCBsaW5lLjxcL3A+XHJcbiIsImhpbnQiOiIiLCJvcmlnaW5hbCI6IjAiLCJodG1sX3RpdGxlIjoiMCIsInByb2JsZW1fbGFuZ190Y29kZSI6IkVuZ2xpc2giLCJsaW1pdCI6Ijx1bD5cclxuXHQ8bGk+JDEgXFxsZSBUIFxcbGUgMjAkPFwvbGk+XHJcblx0PGxpPiQyIFxcbGUgTiBcXGxlIDEwXjUkPFwvbGk+XHJcblx0PGxpPkZvciBlYWNoICRpJCB3aXRoICQxIFxcbGUgaSBcXGxlIE4kOlxyXG5cdDx1bD5cclxuXHRcdDxsaT4kMCBcXGxlIExbaV0sIFJbaV0gXFxsZSBOJDxcL2xpPlxyXG5cdFx0PGxpPiRMW2ldIFxcbmVxIGkkPFwvbGk+XHJcblx0XHQ8bGk+JFJbaV0gXFxuZXEgaSQ8XC9saT5cclxuXHQ8XC91bD5cclxuXHQ8XC9saT5cclxuPFwvdWw+XHJcbiIsInNhbXBsZV9leHBsYWluXzEiOiI8cD5DYXNlIDE6IE5vIGZ1cnRoZXIgZXhwbGFuYXRpb248XC9wPlxyXG5cclxuPHA+Q2FzZSAyOiBObyBmdXJ0aGVyIGV4cGxhbmF0aW9uPFwvcD5cclxuXHJcbjxwPkNhc2UgMzogVGhlcmUgYXJlIDQgd2F5cyBhcyBmb2xsb3dzOjxcL3A+XHJcblxyXG48dWw+XHJcblx0PGxpPlN3YXAgTFsxXSBhbmQgUlsxXTogJEwgPSBbMCwgMF0kLCAkUiA9IFsyLCAwXSQuPFwvbGk+XHJcblx0PGxpPlN3YXAgTFsyXSBhbmQgUlsxXTogJEwgPSBbMiwgMF0kLCAkUiA9IFswLCAwXSQuPFwvbGk+XHJcblx0PGxpPlN3YXAgTFsyXSBhbmQgUlsyXTogJEwgPSBbMiwgMF0kLCAkUiA9IFswLCAwXSQuPFwvbGk+XHJcblx0PGxpPlN3YXAgUlsxXSBhbmQgUlsyXTogJEwgPSBbMiwgMF0kLCAkUiA9IFswLCAwXSQuPFwvbGk+XHJcbjxcL3VsPlxyXG5cclxuPHA+Q2FzZSA0OiBObyBmdXJ0aGVyIGV4cGxhbmF0aW9uPFwvcD5cclxuXHJcbjxwPkNhc2UgNTogTm90ZSB0aGF0IGV2ZW4gdGhvdWdoICRMJCBhbmQgJFIkIGdpdmVuIGFzIGlucHV0IGRvIG5vdCB5aWVsZCBhIHZhbGlkIGJpbmFyeSB0cmVlLCBhIHZhbGlkIG9uZSBtYXkgYmUgb2J0YWluZWQgYWZ0ZXIgc3dhcHBpbmcgYSBwYWlyIG9mIHZhbHVlcy48XC9wPlxyXG5cclxuPHA+Q2FzZSA2OiBObyBmdXJ0aGVyIGV4cGxhbmF0aW9uPFwvcD5cclxuXHJcbjxwPkNhc2UgNzogTm8gZnVydGhlciBleHBsYW5hdGlvbjxcL3A+XHJcbiJ9XQ==