시간 제한메모리 제한제출정답맞힌 사람정답 비율
1 초 1024 MB65252246.809%

문제

경기도의 명소 경기과학고등학교에는 $1$부터 $N$까지의 번호가 매겨진 건물이 $N-1$개의 양방향 도로로 연결되어 있고, 모든 건물들은 연결되어 있습니다. 즉, 경기과학고등학교는 트리 구조입니다. 악당 동현이는 경기과학고등학교를 여러 조각으로 분열시킨 후 경기과학고등학교를 지배할 계획을 세우고 있습니다.

동현이가 계획한 첫 번째 계획의 실패로, 동현이는 자신의 두 번째 계획을 사용하기로 했습니다. 이 계획에서 동현이는 경기과학고에 있는 길 중 $2$개를 파괴해 경기과학고를 $3$개의 영역으로 나누고자 합니다. 두 건물이 같은 영역에 속해 있다는 것은 파괴되지 않은 도로들을 통해 한 건물에서 다른 건물로 이동할 수 있음을 뜻합니다.

동현이는 이미 경기과학고등학교에 숨겨놓은 스파이를 통해 $i$번 건물에는 학생이 $A_i$명임을 알고 있습니다. 경기과학고를 세 영역으로 나눈 뒤, 각 영역의 결집도를 해당 영역에 있는 학생의 수로 정의합니다. 또한 세 영역의 결집도의 곱을 지배력이라고 정의합니다.

예를 들어, 아래 그림과 같이 건물의 개수 $N=7$이고, 각 건물에 있는 학생의 수가 $A=[1, 3, 4, 0, 3, 6, 2]$인 경우를 생각해 봅시다.

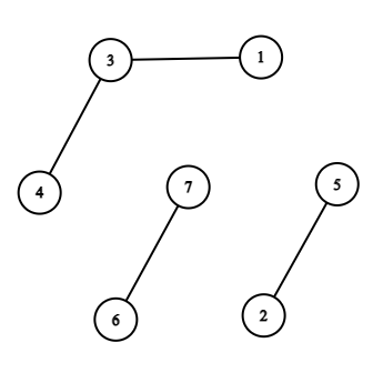
동현이가 $1$, $5$번 건물 사이의 길과 $5$, $7$번 건물 사이의 길을 파괴하면 경기과학고등학교는 다음과 같이 세 영역으로 분할됩니다.

이때, $1$번 건물이 포함된 영역의 결집도는 $1+4+0=5$이며, $2$번 건물, $6$번 건물이 포함된 영역의 결집도는 각각 $6$, $8$입니다. 따라서 이 경우의 지배력은 $5\times 6\times 8=240$입니다.

동현이가 경기과학고를 세 영역으로 나눠 얻을 수 있는 지배력의 최댓값을 구하는 프로그램을 작성하세요.

입력

첫째 줄에 경기과학고등학교의 건물의 수를 나타내는 정수 $N$이 주어집니다.

둘째 줄에 각 건물에 있는 학생의 수 $A_1$, $A_2$, $\cdots$, $A_N$이 띄어쓰기를 사이에 두고 주어집니다.

셋째 줄부터 $N+1$번째 줄까지 $i+2$번째 줄에 두 개의 정수 $U_i$, $V_i$가 순서대로 띄어쓰기를 사이에 두고 주어집니다. 이는 $i$번째 도로가 $U_i$번 건물과 $V_i$번 건물을 양방향으로 연결함을 나타냅니다.

출력

첫째 줄에 동현이가 경기과학고를 세 영역으로 나눠 얻을 수 있는 지배력의 최댓값을 출력합니다.

제한

  • $3 \le N \le 10^5$
  • $0 \le A_i \le 30$ $(1 \le i \le N)$
  • $1 \le U_i < V_i \le N$ $(1 \le i \le N-1)$
  • 경기과학고등학교의 구조는 트리입니다.

서브태스크

번호배점제한
12

$N=3$

24

$U_i=i$, $V_i=i+1$ $(1 \le i \le N-1)$, $N \le 1000$

310

$U_i=i$, $V_i=i+1$ $(1 \le i \le N-1)$

410

$U_i=1$ $(1 \le i \le N-1)$

512

$N \le 500$

620

$N \le 1000$

742

추가 제한 조건이 없습니다.

예제 입력 1

7
1 3 4 0 3 6 2
1 3
3 4
1 5
2 5
5 7
6 7

예제 출력 1

240

예제 입력 2

3
10 20 30
1 2
2 3

예제 출력 2

6000

출처

School > 서울과학고등학교 > 2024 SciCom Qualification Test E번

채점 및 기타 정보

  • 예제는 채점하지 않는다.
  • 이 문제의 채점 우선 순위는 2이다.