시간 제한메모리 제한제출정답맞힌 사람정답 비율
2 초 512 MB45251453.846%

문제

Albert는 $N$ 대의 컴퓨터로 구성된 클러스터를 갖고 있는데, 현재 모든 컴퓨터는 malware 에 감염된 상태이다 (편의상 컴퓨터는 $1, 2, \dots, N$ 으로 번호가 붙어있다).

현재 총 $M$ 쌍의 컴퓨터가 방화벽 없는 "연결망"을 통해 연결되어있는데, 이를 통해 malware 가 계속 전파될 수 있다. 구체적으로, $X, Y$ 크기가 $M$ 인 정수 배열일 때 (각 $X_i, Y_i$ 값은 컴퓨터 번호이다), 매일 저녁에 아래와 같은 일이 일어난다:

  • $1 \le i \le M$ 인 $i$ 에 대하여, 저녁 6시가 되는 순간 컴퓨터 $X_i$ 가 감염된 상태라면, 컴퓨터 $Y_i$ 는 6시 직후에 감염된 상태로 바뀐다.
  • 이 전파는 $M$ 쌍에 대해 동시에 일어나기 때문에, 새로 감염된 컴퓨터가 다른 컴퓨터를 즉시 감염시킬 수는 없다.

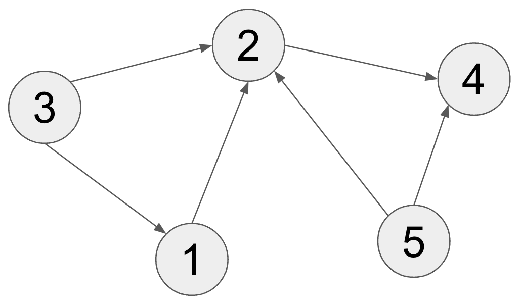
예를 들어 아래 그림은 $N = 5, M = 6$, $X = [5, 3, 2, 1, 5, 3]$, $Y = [4, 2, 4, 2, 2, 1]$ 인 경우를 나타낸다.

Albert는 급조한 소프트웨어를 이용하여 모든 컴퓨터의 데이터를 스캔한 후 주기적으로 malware를 박멸해보려고 한다.

  1. 이 소프트웨어는 한 번 가동하면 총 $P$ 일 동안 작동하며, 각 컴퓨터의 malware를 정확히 한 번씩 박멸한다 (이 때 $P \ge N$).
  2. $1 \le i \le N$ 인 $i$ 에 대하여, 컴퓨터 $i$ 는 $C_i$ 번째 날 오전 10시에 처리되며, malware는 해당 컴퓨터에서 완전히 박멸된다 (다만, 같은 날 저녁 6시에 다른 컴퓨터가 다시 컴퓨터 $i$ 를 감염시킬 수도 있다.)
  3. 위 과정을 $P$일 단위로 무한히 반복한다. 즉, 컴퓨터 $i$ 는 $C_i$ 번째 날 오전 10시에 처리되고, $P$ 일 후인 $C_i + P$ 번째 날 다시 처리되고, $C_i + 2 \cdot P$ 번째 날 처리되는 등 이 과정이 $P$일 주기로 반복된다.

예를 들어 위와 같은 클러스터가 있고, $P = 7$ 이고 $C = [1, 4, 2, 6, 7]$ 이라 하자. 이 때 아래와 같은 순서로 소프트웨어가 동작한다.

날짜 오전 10시 오후 6시

0일​​​​​​

모든 컴퓨터가 이미 malware에 감염된 상태이다.

감염된 컴퓨터: 1, 2, 3, 4, 5

모든 컴퓨터가 이미 malware에 감염된 상태이다.

감염된 컴퓨터: 1, 2, 3, 4, 5

1일

$C_1 = 1$ 이므로 소프트웨어는 컴퓨터 1의 malware를 박멸한다.

감염된 컴퓨터: 2, 3, 4, 5

$3 \to 1$ 연결망 때문에 컴퓨터 1이 다시 malware에 감염된다.

감염된 컴퓨터: 1, 2, 3, 4, 5

2일

$C_3 = 2$ 이므로 소프트웨어는 컴퓨터 3의 malware를 박멸한다.

감염된 컴퓨터: 1, 2, 4, 5

컴퓨터 3은 malware에 다시 감염되지 않는다 ($Y_i = 3$ 인 경우가 없다).

감염된 컴퓨터: 1, 2, 4, 5

3일

$C_i = 3$ 인 경우가 없으므로 박멸되는 malware 가 없다.

감염된 컴퓨터: 1, 2, 4, 5

변화 없음.

감염된 컴퓨터: 1, 2, 4, 5

4일

$C_2 = 4$ 이므로 소프트웨어는 컴퓨터 2의 malware를 박멸한다.

감염된 컴퓨터: 1, 4, 5

$1 \to 2$ 연결망 때문에 컴퓨터 2가 다시 malware 에 감염된다.

감염된 컴퓨터: 1, 2, 4, 5

5일

$C_i = 5$ 인 경우가 없으므로 박멸되는 malware 가 없다.

감염된 컴퓨터: 1, 2, 4, 5

변화 없음.

감염된 컴퓨터: 1, 2, 4, 5

6일

$C_4 =6$ 이므로 소프트웨어는 컴퓨터 4의 malware를 박멸한다.

감염된 컴퓨터: 1, 2, 5

$2 \to 4$ 그리고 $5 \to 4$ 연결망 때문에 컴퓨터 4가 다시 malware에 감염된다.

감염된 컴퓨터: 1, 2, 4, 5

7일

$C_5 =7$ 이므로 소프트웨어는 컴퓨터 5의 malware를 박멸한다.

감염된 컴퓨터: 1, 2, 4

컴퓨터 5는 malware에 다시 감염되지 않는다 ($Y_i = 5$ 인 경우가 없다).

감염된 컴퓨터: 1, 2, 4

$P = 7$ 이므로, 8일째 부터는 소프트웨어가 다시 처음부터 가동됨에 유의하자.

8일

$C_1 = 1$ 이므로 소프트웨어는 컴퓨터 1의 malware를 박멸한다.

감염된 컴퓨터: 2, 4

컴퓨터 3이 malware에 감염되지 않았으므로, 컴퓨터 1도 다시 감염되지 않는다.

감염된 컴퓨터: 2, 4

9일

$C_3 = 2$ 이므로 소프트웨어는 컴퓨터 3을 처리한다. (이미 박멸된 상태이므로 변화가 없다.)

감염된 컴퓨터: 2, 4

변화 없음.

감염된 컴퓨터: 2, 4

10일

변화 없음.

감염된 컴퓨터: 2, 4

변화 없음.

감염된 컴퓨터: 2, 4

11일

$C_2 = 4$ 이므로 소프트웨어는 컴퓨터 2의 malware를 박멸한다.

감염된 컴퓨터: 4

변화 없음.

감염된 컴퓨터: 4

12일

변화 없음.

감염된 컴퓨터: 4

변화 없음.

감염된 컴퓨터: 4

13일

$C_4 =6$ 이므로 소프트웨어는 컴퓨터 4의 malware를 박멸한다.

감염된 컴퓨터: 없음

변화 없음.

감염된 컴퓨터: 없음

14일

소프트웨어는 계속 작동하지만 모든 컴퓨터에서 malware가 박멸된 상태로 유지된다.

변화 없음.

Albert는 매일 밤 11시에 malware에 감염된 컴퓨터의 수를 측정하는 버릇이 있는데, $j$ 번째 날 밤 11시를 기준으로 malware에 감염된 컴퓨터의 수를 $S_j$ 라 하자. Albert는 1일째부터 $K$ 일째 밤까지 이 값을 측정하여, 그 총합인 $\sum_{1 \le j \le K} S_j$ 가 무엇인지 알고 싶다. 위의 예제에서 $K = 11$ 이라면 $S = [5, 4, 4, 4, 4, 4, 3, 2, 2, 2, 1]$ 이 되므로 정답은 35가 된다.

입력으로 $N, M, C, X, Y, P, K$가 주어졌을 때, $\sum_{1 \le j \le K} S_j$ 값을 구해보자.

입력

입력 첫 줄에 테스트 케이스의 수 $T$ 가 주어진다.

각 테스트 케이스의 첫 줄에는 $N, M, P, K$ 가 공백으로 구분되어 주어진다. 둘째 줄에는 배열 $C$ 의 값인 $N$ 개의 정수가 공백으로 구분되어 주어진다. 다음 $M$ 줄에 걸쳐 각 줄에 한 쌍의 정수가 공백으로 구분되어 주어지는데, 이는 방화벽 없이 연결된 컴퓨터 쌍 $X_i, Y_i$ 를 나타낸다.

출력

각 테스트 케이스의 정답인 $\sum_{1 \le j \le K} S_j$ 값을 $10^9 + 7$ 로 나눈 나머지를 각 줄에 출력한다.

제한

  • $1 \le T \le 15$
  • $1 \le N \le 50,000$
  • $1 \le M \le \min(\binom{N}{2}, 200,000)$
  • $N \le P \le 150,000$
  • $1 \le K \le 1,234,567,890$
  • $1 \le i \le N$ 인 각 $i$에 대하여: $1\le C_i \le P$
  • $C_i = C_j$ 이면서 $i \neq j$ 인 경우는 없다 (즉, 배열 $C$ 의 원소는 고유하다)
  • $1 \le i \le M$ 인 각 $i$에 대하여:
    • $1 \le X_i, Y_i \le N$ 이고 $X_i \neq Y_i$
  • $(X_i, Y_i) = (X_j, Y_j)$ 이면서 $i \neq j$ 인 경우는 없다 (즉, $X \times Y$ 의 원소는 고유하다)

예제 입력 1

8
5 6 7 11
1 4 2 6 7
5 4
3 2
2 4
1 2
5 2
3 1
2 2 5 8
2 4
1 2
2 1
4 4 7 15
5 1 4 3
4 3
1 3
2 1
4 1
5 5 7 20
1 2 3 4 5
1 2
2 3
3 4
4 1
3 5
5 4 7 10
4 1 2 3 5
1 2
2 3
3 4
4 5
5 4 7 10
5 1 2 4 6
1 2
2 3
3 4
4 5
3 2 7 10
2 4 6
1 2
2 3
3 2 7 10
6 4 2
1 2
2 3

예제 출력 1

35
16
16
100
37
39
9
25

예제 1: 본문에서 다루었다.

예제 2: 컴퓨터 두 대가 서로 malware를 계속 전파하므로 언제나 $S_j = 2$ 이다.

예제 3: $S = [3, 3, 2, 2, 1, 1, 1, 1, 1, 1, 0]$ 이다.

예제 4: 언제나 $S_j = 5$ 이다.

예제 5-8: 추가 설명 없음

W3sicHJvYmxlbV9pZCI6IjMxODA5IiwicHJvYmxlbV9sYW5nIjoiMCIsInRpdGxlIjoibWFsd2FyZSBcdWJjMTVcdWJhNzhcdWQ1NThcdWFlMzAiLCJkZXNjcmlwdGlvbiI6IjxwPkFsYmVydFx1YjI5NCAkTiQgXHViMzAwXHVjNzU4IFx1Y2VmNFx1ZDRlOFx1ZDEzMFx1Yjg1YyBcdWFkNmNcdWMxMzFcdWI0MWMgXHVkMDc0XHViN2VjXHVjMmE0XHVkMTMwXHViOTdjIFx1YWMxNlx1YWNlMCBcdWM3ODhcdWIyOTRcdWIzNzAsIFx1ZDYwNFx1YzdhYyBcdWJhYThcdWI0ZTAgXHVjZWY0XHVkNGU4XHVkMTMwXHViMjk0IG1hbHdhcmUgXHVjNWQwIFx1YWMxMFx1YzVmY1x1YjQxYyBcdWMwYzFcdWQwZGNcdWM3NzRcdWIyZTQgKFx1ZDNiOFx1Yzc1OFx1YzBjMSBcdWNlZjRcdWQ0ZThcdWQxMzBcdWIyOTQgJDEsIDIsIFxcZG90cywgTiQgXHVjNzNjXHViODVjIFx1YmM4OFx1ZDYzOFx1YWMwMCBcdWJkOTlcdWM1YjRcdWM3ODhcdWIyZTQpLjxcL3A+XHJcblxyXG48cD5cdWQ2MDRcdWM3YWMgXHVjZDFkICRNJCBcdWMzMGRcdWM3NTggXHVjZWY0XHVkNGU4XHVkMTMwXHVhYzAwIFx1YmMyOVx1ZDY1NFx1YmNiZCBcdWM1YzZcdWIyOTQgJnF1b3Q7XHVjNWYwXHVhY2IwXHViOWRkJnF1b3Q7XHVjNzQ0IFx1ZDFiNVx1ZDU3NCBcdWM1ZjBcdWFjYjBcdWI0MThcdWM1YjRcdWM3ODhcdWIyOTRcdWIzNzAsIFx1Yzc3NFx1Yjk3YyBcdWQxYjVcdWQ1NzQgbWFsd2FyZSBcdWFjMDAgXHVhY2M0XHVjMThkIFx1YzgwNFx1ZDMwY1x1YjQyMCBcdWMyMTggXHVjNzg4XHViMmU0LiBcdWFkNmNcdWNjYjRcdWM4MDFcdWM3M2NcdWI4NWMsICRYLCBZJCBcdWQwNmNcdWFlMzBcdWFjMDAgJE0kIFx1Yzc3OCBcdWM4MTVcdWMyMTggXHViYzMwXHVjNWY0XHVjNzdjIFx1YjU0YyAoXHVhYzAxICRYX2ksIFlfaSQgXHVhYzEyXHVjNzQwIFx1Y2VmNFx1ZDRlOFx1ZDEzMCBcdWJjODhcdWQ2MzhcdWM3NzRcdWIyZTQpLCBcdWI5ZTRcdWM3N2MgXHVjODAwXHViMTQxXHVjNWQwIFx1YzU0NFx1Yjc5OFx1YzY0MCBcdWFjMTlcdWM3NDAgXHVjNzdjXHVjNzc0IFx1Yzc3Y1x1YzViNFx1YjA5Y1x1YjJlNDo8XC9wPlxyXG5cclxuPHVsPlxyXG5cdDxsaT4kMSBcXGxlIGkgXFxsZSBNJCBcdWM3NzggJGkkIFx1YzVkMCBcdWIzMDBcdWQ1NThcdWM1ZWMsIFx1YzgwMFx1YjE0MSA2XHVjMmRjXHVhYzAwIFx1YjQxOFx1YjI5NCBcdWMyMWNcdWFjMDQgXHVjZWY0XHVkNGU4XHVkMTMwICRYX2kkIFx1YWMwMCBcdWFjMTBcdWM1ZmNcdWI0MWMgXHVjMGMxXHVkMGRjXHViNzdjXHViYTc0LCBcdWNlZjRcdWQ0ZThcdWQxMzAgJFlfaSQgXHViMjk0IDZcdWMyZGMgXHVjOWMxXHVkNmM0XHVjNWQwIFx1YWMxMFx1YzVmY1x1YjQxYyBcdWMwYzFcdWQwZGNcdWI4NWMgXHViYzE0XHViMDEwXHViMmU0LjxcL2xpPlxyXG5cdDxsaT5cdWM3NzQgXHVjODA0XHVkMzBjXHViMjk0ICRNJCBcdWMzMGRcdWM1ZDAgXHViMzAwXHVkNTc0IFx1YjNkOVx1YzJkY1x1YzVkMCBcdWM3N2NcdWM1YjRcdWIwOThcdWFlMzAgXHViNTRjXHViYjM4XHVjNWQwLCBcdWMwYzhcdWI4NWMgXHVhYzEwXHVjNWZjXHViNDFjIFx1Y2VmNFx1ZDRlOFx1ZDEzMFx1YWMwMCBcdWIyZTRcdWI5NzggXHVjZWY0XHVkNGU4XHVkMTMwXHViOTdjIFx1Yzk4OVx1YzJkYyBcdWFjMTBcdWM1ZmNcdWMyZGNcdWQwYWMgXHVjMjE4XHViMjk0IFx1YzVjNlx1YjJlNC48XC9saT5cclxuPFwvdWw+XHJcblxyXG48cD5cdWM2MDhcdWI5N2MgXHViNGU0XHVjNWI0IFx1YzU0NFx1Yjc5OCBcdWFkZjhcdWI5YmNcdWM3NDAgJE4gPSA1LCBNID0gNiQsICRYID0gWzUsIDMsIDIsIDEsIDUsIDNdJCwgJFkgPSBbNCwgMiwgNCwgMiwgMiwgMV0kIFx1Yzc3OCBcdWFjYmRcdWM2YjBcdWI5N2MgXHViMDk4XHVkMGMwXHViMGI4XHViMmU0LjxcL3A+XHJcblxyXG48cCBzdHlsZT1cInRleHQtYWxpZ246IGNlbnRlcjtcIj48aW1nIGFsdD1cIlwiIHNyYz1cImh0dHBzOlwvXC91cGxvYWQuYWNtaWNwYy5uZXRcL2RhZjU0NmYyLWUyMjAtNDc3Zi04NTg4LWEyZTQyMzhmODZmZVwvLVwvcHJldmlld1wvXCIgc3R5bGU9XCJoZWlnaHQ6IDIwNnB4OyB3aWR0aDogMzUwcHg7XCIgXC8+PFwvcD5cclxuXHJcbjxwPkFsYmVydFx1YjI5NCBcdWFlMDlcdWM4NzBcdWQ1NWMgXHVjMThjXHVkNTA0XHVkMmI4XHVjNmU4XHVjNWI0XHViOTdjIFx1Yzc3NFx1YzZhOVx1ZDU1OFx1YzVlYyBcdWJhYThcdWI0ZTAgXHVjZWY0XHVkNGU4XHVkMTMwXHVjNzU4IFx1YjM3MFx1Yzc3NFx1ZDEzMFx1Yjk3YyBcdWMyYTRcdWNlOTRcdWQ1NWMgXHVkNmM0IFx1YzhmY1x1YWUzMFx1YzgwMVx1YzczY1x1Yjg1YyBtYWx3YXJlXHViOTdjIFx1YmMxNVx1YmE3OFx1ZDU3NFx1YmNmNFx1YjgyNFx1YWNlMCBcdWQ1NWNcdWIyZTQuPFwvcD5cclxuXHJcbjxvbD5cclxuXHQ8bGk+XHVjNzc0IFx1YzE4Y1x1ZDUwNFx1ZDJiOFx1YzZlOFx1YzViNFx1YjI5NCBcdWQ1NWMgXHViYzg4IFx1YWMwMFx1YjNkOVx1ZDU1OFx1YmE3NCBcdWNkMWQgJFAkIFx1Yzc3YyBcdWIzZDlcdWM1NDggXHVjNzkxXHViM2Q5XHVkNTU4XHViYTcwLCBcdWFjMDEgXHVjZWY0XHVkNGU4XHVkMTMwXHVjNzU4IG1hbHdhcmVcdWI5N2MgXHVjODE1XHVkNjU1XHVkNzg4IFx1ZDU1YyBcdWJjODhcdWM1MjkgXHViYzE1XHViYTc4XHVkNTVjXHViMmU0IChcdWM3NzQgXHViNTRjICRQIFxcZ2UgTiQpLjxcL2xpPlxyXG5cdDxsaT4kMSBcXGxlIGkgXFxsZSBOJCBcdWM3NzggJGkkIFx1YzVkMCBcdWIzMDBcdWQ1NThcdWM1ZWMsIFx1Y2VmNFx1ZDRlOFx1ZDEzMCAkaSQgXHViMjk0ICRDX2kkIFx1YmM4OFx1YzlmOCBcdWIwYTAgXHVjNjI0XHVjODA0IDEwXHVjMmRjXHVjNWQwIFx1Y2M5OFx1YjlhY1x1YjQxOFx1YmE3MCwgbWFsd2FyZVx1YjI5NCBcdWQ1NzRcdWIyZjkgXHVjZWY0XHVkNGU4XHVkMTMwXHVjNWQwXHVjMTFjIFx1YzY0NFx1YzgwNFx1ZDc4OCBcdWJjMTVcdWJhNzhcdWI0MWNcdWIyZTQgKFx1YjJlNFx1YjljYywgXHVhYzE5XHVjNzQwIFx1YjBhMCBcdWM4MDBcdWIxNDEgNlx1YzJkY1x1YzVkMCBcdWIyZTRcdWI5NzggXHVjZWY0XHVkNGU4XHVkMTMwXHVhYzAwIFx1YjJlNFx1YzJkYyBcdWNlZjRcdWQ0ZThcdWQxMzAgJGkkIFx1Yjk3YyBcdWFjMTBcdWM1ZmNcdWMyZGNcdWQwYWMgXHVjMjE4XHViM2M0IFx1Yzc4OFx1YjJlNC4pPFwvbGk+XHJcblx0PGxpPlx1YzcwNCBcdWFjZmNcdWM4MTVcdWM3NDQgJFAkXHVjNzdjIFx1YjJlOFx1YzcwNFx1Yjg1YyBcdWJiMzRcdWQ1NWNcdWQ3ODggXHViYzE4XHViY2Y1XHVkNTVjXHViMmU0LiBcdWM5ODksIFx1Y2VmNFx1ZDRlOFx1ZDEzMCAkaSQgXHViMjk0ICRDX2kkIFx1YmM4OFx1YzlmOCBcdWIwYTAgXHVjNjI0XHVjODA0IDEwXHVjMmRjXHVjNWQwIFx1Y2M5OFx1YjlhY1x1YjQxOFx1YWNlMCwgJFAkIFx1Yzc3YyBcdWQ2YzRcdWM3NzggJENfaSArIFAkIFx1YmM4OFx1YzlmOCBcdWIwYTAgXHViMmU0XHVjMmRjIFx1Y2M5OFx1YjlhY1x1YjQxOFx1YWNlMCwgJENfaSArIDIgXFxjZG90IFAkIFx1YmM4OFx1YzlmOCBcdWIwYTAgXHVjYzk4XHViOWFjXHViNDE4XHViMjk0IFx1YjRmMSBcdWM3NzQgXHVhY2ZjXHVjODE1XHVjNzc0ICRQJFx1Yzc3YyBcdWM4ZmNcdWFlMzBcdWI4NWMgXHViYzE4XHViY2Y1XHViNDFjXHViMmU0LjxcL2xpPlxyXG48XC9vbD5cclxuXHJcbjxwPlx1YzYwOFx1Yjk3YyBcdWI0ZTRcdWM1YjQgXHVjNzA0XHVjNjQwIFx1YWMxOVx1Yzc0MCBcdWQwNzRcdWI3ZWNcdWMyYTRcdWQxMzBcdWFjMDAgXHVjNzg4XHVhY2UwLCAkUCA9IDckIFx1Yzc3NFx1YWNlMCAkQyA9IFsxLCA0LCAyLCA2LCA3XSQgXHVjNzc0XHViNzdjIFx1ZDU1OFx1Yzc5MC4gXHVjNzc0IFx1YjU0YyBcdWM1NDRcdWI3OThcdWM2NDAgXHVhYzE5XHVjNzQwIFx1YzIxY1x1YzExY1x1Yjg1YyBcdWMxOGNcdWQ1MDRcdWQyYjhcdWM2ZThcdWM1YjRcdWFjMDAgXHViM2Q5XHVjNzkxXHVkNTVjXHViMmU0LjxcL3A+XHJcblxyXG48dGFibGUgY2xhc3M9XCJ0YWJsZSB0YWJsZS1ib3JkZXJlZFwiPlxyXG5cdDx0Ym9keT5cclxuXHRcdDx0cj5cclxuXHRcdFx0PHRkPlx1YjBhMFx1YzlkYzxcL3RkPlxyXG5cdFx0XHQ8dGQ+XHVjNjI0XHVjODA0IDEwXHVjMmRjPFwvdGQ+XHJcblx0XHRcdDx0ZD5cdWM2MjRcdWQ2YzQgNlx1YzJkYzxcL3RkPlxyXG5cdFx0PFwvdHI+XHJcblx0XHQ8dHI+XHJcblx0XHRcdDx0ZD5cclxuXHRcdFx0PHA+MFx1Yzc3Y1x1MjAwYlx1MjAwYlx1MjAwYlx1MjAwYlx1MjAwYlx1MjAwYjxcL3A+XHJcblx0XHRcdDxcL3RkPlxyXG5cdFx0XHQ8dGQ+XHJcblx0XHRcdDxwPlx1YmFhOFx1YjRlMCBcdWNlZjRcdWQ0ZThcdWQxMzBcdWFjMDAgXHVjNzc0XHViYmY4IG1hbHdhcmVcdWM1ZDAgXHVhYzEwXHVjNWZjXHViNDFjIFx1YzBjMVx1ZDBkY1x1Yzc3NFx1YjJlNC48XC9wPlxyXG5cclxuXHRcdFx0PHA+XHVhYzEwXHVjNWZjXHViNDFjIFx1Y2VmNFx1ZDRlOFx1ZDEzMDogMSwgMiwgMywgNCwgNTxcL3A+XHJcblx0XHRcdDxcL3RkPlxyXG5cdFx0XHQ8dGQ+XHJcblx0XHRcdDxwPlx1YmFhOFx1YjRlMCBcdWNlZjRcdWQ0ZThcdWQxMzBcdWFjMDAgXHVjNzc0XHViYmY4IG1hbHdhcmVcdWM1ZDAgXHVhYzEwXHVjNWZjXHViNDFjIFx1YzBjMVx1ZDBkY1x1Yzc3NFx1YjJlNC48XC9wPlxyXG5cclxuXHRcdFx0PHA+XHVhYzEwXHVjNWZjXHViNDFjIFx1Y2VmNFx1ZDRlOFx1ZDEzMDogMSwgMiwgMywgNCwgNTxcL3A+XHJcblx0XHRcdDxcL3RkPlxyXG5cdFx0PFwvdHI+XHJcblx0XHQ8dHI+XHJcblx0XHRcdDx0ZD5cclxuXHRcdFx0PHA+MVx1Yzc3YzxcL3A+XHJcblx0XHRcdDxcL3RkPlxyXG5cdFx0XHQ8dGQ+XHJcblx0XHRcdDxwPiRDXzEgPSAxJCBcdWM3NzRcdWJiYzBcdWI4NWMgXHVjMThjXHVkNTA0XHVkMmI4XHVjNmU4XHVjNWI0XHViMjk0IFx1Y2VmNFx1ZDRlOFx1ZDEzMCAxXHVjNzU4IG1hbHdhcmVcdWI5N2MgXHViYzE1XHViYTc4XHVkNTVjXHViMmU0LjxcL3A+XHJcblxyXG5cdFx0XHQ8cD5cdWFjMTBcdWM1ZmNcdWI0MWMgXHVjZWY0XHVkNGU4XHVkMTMwOiAyLCAzLCA0LCA1PFwvcD5cclxuXHRcdFx0PFwvdGQ+XHJcblx0XHRcdDx0ZD5cclxuXHRcdFx0PHA+JDMgXFx0byAxJCBcdWM1ZjBcdWFjYjBcdWI5ZGQgXHViNTRjXHViYjM4XHVjNWQwIFx1Y2VmNFx1ZDRlOFx1ZDEzMCAxXHVjNzc0IFx1YjJlNFx1YzJkYyBtYWx3YXJlXHVjNWQwIFx1YWMxMFx1YzVmY1x1YjQxY1x1YjJlNC48XC9wPlxyXG5cclxuXHRcdFx0PHA+XHVhYzEwXHVjNWZjXHViNDFjIFx1Y2VmNFx1ZDRlOFx1ZDEzMDogMSwgMiwgMywgNCwgNTxcL3A+XHJcblx0XHRcdDxcL3RkPlxyXG5cdFx0PFwvdHI+XHJcblx0XHQ8dHI+XHJcblx0XHRcdDx0ZD5cclxuXHRcdFx0PHA+Mlx1Yzc3YzxcL3A+XHJcblx0XHRcdDxcL3RkPlxyXG5cdFx0XHQ8dGQ+XHJcblx0XHRcdDxwPiRDXzMgPSAyJCBcdWM3NzRcdWJiYzBcdWI4NWMgXHVjMThjXHVkNTA0XHVkMmI4XHVjNmU4XHVjNWI0XHViMjk0IFx1Y2VmNFx1ZDRlOFx1ZDEzMCAzXHVjNzU4IG1hbHdhcmVcdWI5N2MgXHViYzE1XHViYTc4XHVkNTVjXHViMmU0LjxcL3A+XHJcblxyXG5cdFx0XHQ8cD5cdWFjMTBcdWM1ZmNcdWI0MWMgXHVjZWY0XHVkNGU4XHVkMTMwOiAxLCAyLCA0LCA1PFwvcD5cclxuXHRcdFx0PFwvdGQ+XHJcblx0XHRcdDx0ZD5cclxuXHRcdFx0PHA+XHVjZWY0XHVkNGU4XHVkMTMwIDNcdWM3NDAgbWFsd2FyZVx1YzVkMCBcdWIyZTRcdWMyZGMgXHVhYzEwXHVjNWZjXHViNDE4XHVjOWMwIFx1YzU0YVx1YjI5NFx1YjJlNCAoJFlfaSA9IDMkIFx1Yzc3OCBcdWFjYmRcdWM2YjBcdWFjMDAgXHVjNWM2XHViMmU0KS48XC9wPlxyXG5cclxuXHRcdFx0PHA+XHVhYzEwXHVjNWZjXHViNDFjIFx1Y2VmNFx1ZDRlOFx1ZDEzMDogMSwgMiwgNCwgNTxcL3A+XHJcblx0XHRcdDxcL3RkPlxyXG5cdFx0PFwvdHI+XHJcblx0XHQ8dHI+XHJcblx0XHRcdDx0ZD5cclxuXHRcdFx0PHA+M1x1Yzc3YzxcL3A+XHJcblx0XHRcdDxcL3RkPlxyXG5cdFx0XHQ8dGQ+XHJcblx0XHRcdDxwPiRDX2kgPSAzJCBcdWM3NzggXHVhY2JkXHVjNmIwXHVhYzAwIFx1YzVjNlx1YzczY1x1YmJjMFx1Yjg1YyBcdWJjMTVcdWJhNzhcdWI0MThcdWIyOTQgbWFsd2FyZSBcdWFjMDAgXHVjNWM2XHViMmU0LjxcL3A+XHJcblxyXG5cdFx0XHQ8cD5cdWFjMTBcdWM1ZmNcdWI0MWMgXHVjZWY0XHVkNGU4XHVkMTMwOiAxLCAyLCA0LCA1PFwvcD5cclxuXHRcdFx0PFwvdGQ+XHJcblx0XHRcdDx0ZD5cclxuXHRcdFx0PHA+XHViY2MwXHVkNjU0IFx1YzVjNlx1Yzc0Yy48XC9wPlxyXG5cclxuXHRcdFx0PHA+XHVhYzEwXHVjNWZjXHViNDFjIFx1Y2VmNFx1ZDRlOFx1ZDEzMDogMSwgMiwgNCwgNTxcL3A+XHJcblx0XHRcdDxcL3RkPlxyXG5cdFx0PFwvdHI+XHJcblx0XHQ8dHI+XHJcblx0XHRcdDx0ZD5cclxuXHRcdFx0PHA+NFx1Yzc3YzxcL3A+XHJcblx0XHRcdDxcL3RkPlxyXG5cdFx0XHQ8dGQ+XHJcblx0XHRcdDxwPiRDXzIgPSA0JCBcdWM3NzRcdWJiYzBcdWI4NWMgXHVjMThjXHVkNTA0XHVkMmI4XHVjNmU4XHVjNWI0XHViMjk0IFx1Y2VmNFx1ZDRlOFx1ZDEzMCAyXHVjNzU4IG1hbHdhcmVcdWI5N2MgXHViYzE1XHViYTc4XHVkNTVjXHViMmU0LjxcL3A+XHJcblxyXG5cdFx0XHQ8cD5cdWFjMTBcdWM1ZmNcdWI0MWMgXHVjZWY0XHVkNGU4XHVkMTMwOiAxLCA0LCA1PFwvcD5cclxuXHRcdFx0PFwvdGQ+XHJcblx0XHRcdDx0ZD5cclxuXHRcdFx0PHA+JDEgXFx0byAyJCBcdWM1ZjBcdWFjYjBcdWI5ZGQgXHViNTRjXHViYjM4XHVjNWQwIFx1Y2VmNFx1ZDRlOFx1ZDEzMCAyXHVhYzAwIFx1YjJlNFx1YzJkYyBtYWx3YXJlIFx1YzVkMCBcdWFjMTBcdWM1ZmNcdWI0MWNcdWIyZTQuPFwvcD5cclxuXHJcblx0XHRcdDxwPlx1YWMxMFx1YzVmY1x1YjQxYyBcdWNlZjRcdWQ0ZThcdWQxMzA6IDEsIDIsIDQsIDU8XC9wPlxyXG5cdFx0XHQ8XC90ZD5cclxuXHRcdDxcL3RyPlxyXG5cdFx0PHRyPlxyXG5cdFx0XHQ8dGQ+XHJcblx0XHRcdDxwPjVcdWM3N2M8XC9wPlxyXG5cdFx0XHQ8XC90ZD5cclxuXHRcdFx0PHRkPlxyXG5cdFx0XHQ8cD4kQ19pID0gNSQgXHVjNzc4IFx1YWNiZFx1YzZiMFx1YWMwMCBcdWM1YzZcdWM3M2NcdWJiYzBcdWI4NWMgXHViYzE1XHViYTc4XHViNDE4XHViMjk0IG1hbHdhcmUgXHVhYzAwIFx1YzVjNlx1YjJlNC48XC9wPlxyXG5cclxuXHRcdFx0PHA+XHVhYzEwXHVjNWZjXHViNDFjIFx1Y2VmNFx1ZDRlOFx1ZDEzMDogMSwgMiwgNCwgNTxcL3A+XHJcblx0XHRcdDxcL3RkPlxyXG5cdFx0XHQ8dGQ+XHJcblx0XHRcdDxwPlx1YmNjMFx1ZDY1NCBcdWM1YzZcdWM3NGMuPFwvcD5cclxuXHJcblx0XHRcdDxwPlx1YWMxMFx1YzVmY1x1YjQxYyBcdWNlZjRcdWQ0ZThcdWQxMzA6IDEsIDIsIDQsIDU8XC9wPlxyXG5cdFx0XHQ8XC90ZD5cclxuXHRcdDxcL3RyPlxyXG5cdFx0PHRyPlxyXG5cdFx0XHQ8dGQ+XHJcblx0XHRcdDxwPjZcdWM3N2M8XC9wPlxyXG5cdFx0XHQ8XC90ZD5cclxuXHRcdFx0PHRkPlxyXG5cdFx0XHQ8cD4kQ180ID02JCBcdWM3NzRcdWJiYzBcdWI4NWMgXHVjMThjXHVkNTA0XHVkMmI4XHVjNmU4XHVjNWI0XHViMjk0IFx1Y2VmNFx1ZDRlOFx1ZDEzMCA0XHVjNzU4IG1hbHdhcmVcdWI5N2MgXHViYzE1XHViYTc4XHVkNTVjXHViMmU0LjxcL3A+XHJcblxyXG5cdFx0XHQ8cD5cdWFjMTBcdWM1ZmNcdWI0MWMgXHVjZWY0XHVkNGU4XHVkMTMwOiAxLCAyLCA1PFwvcD5cclxuXHRcdFx0PFwvdGQ+XHJcblx0XHRcdDx0ZD5cclxuXHRcdFx0PHA+JDIgXFx0byA0JCBcdWFkZjhcdWI5YWNcdWFjZTAgJDUgXFx0byA0JCBcdWM1ZjBcdWFjYjBcdWI5ZGQgXHViNTRjXHViYjM4XHVjNWQwIFx1Y2VmNFx1ZDRlOFx1ZDEzMCA0XHVhYzAwIFx1YjJlNFx1YzJkYyBtYWx3YXJlXHVjNWQwIFx1YWMxMFx1YzVmY1x1YjQxY1x1YjJlNC48XC9wPlxyXG5cclxuXHRcdFx0PHA+XHVhYzEwXHVjNWZjXHViNDFjIFx1Y2VmNFx1ZDRlOFx1ZDEzMDogMSwgMiwgNCwgNTxcL3A+XHJcblx0XHRcdDxcL3RkPlxyXG5cdFx0PFwvdHI+XHJcblx0XHQ8dHI+XHJcblx0XHRcdDx0ZD5cclxuXHRcdFx0PHA+N1x1Yzc3YzxcL3A+XHJcblx0XHRcdDxcL3RkPlxyXG5cdFx0XHQ8dGQ+XHJcblx0XHRcdDxwPiRDXzUgPTckIFx1Yzc3NFx1YmJjMFx1Yjg1YyBcdWMxOGNcdWQ1MDRcdWQyYjhcdWM2ZThcdWM1YjRcdWIyOTQgXHVjZWY0XHVkNGU4XHVkMTMwIDVcdWM3NTggbWFsd2FyZVx1Yjk3YyBcdWJjMTVcdWJhNzhcdWQ1NWNcdWIyZTQuPFwvcD5cclxuXHJcblx0XHRcdDxwPlx1YWMxMFx1YzVmY1x1YjQxYyBcdWNlZjRcdWQ0ZThcdWQxMzA6IDEsIDIsIDQ8XC9wPlxyXG5cdFx0XHQ8XC90ZD5cclxuXHRcdFx0PHRkPlxyXG5cdFx0XHQ8cD5cdWNlZjRcdWQ0ZThcdWQxMzAgNVx1YjI5NCBtYWx3YXJlXHVjNWQwIFx1YjJlNFx1YzJkYyBcdWFjMTBcdWM1ZmNcdWI0MThcdWM5YzAgXHVjNTRhXHViMjk0XHViMmU0ICgkWV9pID0gNSQgXHVjNzc4IFx1YWNiZFx1YzZiMFx1YWMwMCBcdWM1YzZcdWIyZTQpLjxcL3A+XHJcblxyXG5cdFx0XHQ8cD5cdWFjMTBcdWM1ZmNcdWI0MWMgXHVjZWY0XHVkNGU4XHVkMTMwOiAxLCAyLCA0PFwvcD5cclxuXHJcblx0XHRcdDxwPiRQID0gNyQgXHVjNzc0XHViYmMwXHViODVjLCA4XHVjNzdjXHVjOWY4IFx1YmQ4MFx1ZDEzMFx1YjI5NCBcdWMxOGNcdWQ1MDRcdWQyYjhcdWM2ZThcdWM1YjRcdWFjMDAgXHViMmU0XHVjMmRjIFx1Y2M5OFx1Yzc0Y1x1YmQ4MFx1ZDEzMCBcdWFjMDBcdWIzZDlcdWI0MjhcdWM1ZDAgXHVjNzIwXHVjNzU4XHVkNTU4XHVjNzkwLjxcL3A+XHJcblx0XHRcdDxcL3RkPlxyXG5cdFx0PFwvdHI+XHJcblx0XHQ8dHI+XHJcblx0XHRcdDx0ZD44XHVjNzdjPFwvdGQ+XHJcblx0XHRcdDx0ZD5cclxuXHRcdFx0PHA+JENfMSA9IDEkIFx1Yzc3NFx1YmJjMFx1Yjg1YyBcdWMxOGNcdWQ1MDRcdWQyYjhcdWM2ZThcdWM1YjRcdWIyOTQgXHVjZWY0XHVkNGU4XHVkMTMwIDFcdWM3NTggbWFsd2FyZVx1Yjk3YyBcdWJjMTVcdWJhNzhcdWQ1NWNcdWIyZTQuPFwvcD5cclxuXHJcblx0XHRcdDxwPlx1YWMxMFx1YzVmY1x1YjQxYyBcdWNlZjRcdWQ0ZThcdWQxMzA6IDIsIDQ8XC9wPlxyXG5cdFx0XHQ8XC90ZD5cclxuXHRcdFx0PHRkPlxyXG5cdFx0XHQ8cD5cdWNlZjRcdWQ0ZThcdWQxMzAgM1x1Yzc3NCBtYWx3YXJlXHVjNWQwIFx1YWMxMFx1YzVmY1x1YjQxOFx1YzljMCBcdWM1NGFcdWM1NThcdWM3M2NcdWJiYzBcdWI4NWMsIFx1Y2VmNFx1ZDRlOFx1ZDEzMCAxXHViM2M0IFx1YjJlNFx1YzJkYyBcdWFjMTBcdWM1ZmNcdWI0MThcdWM5YzAgXHVjNTRhXHViMjk0XHViMmU0LjxcL3A+XHJcblxyXG5cdFx0XHQ8cD5cdWFjMTBcdWM1ZmNcdWI0MWMgXHVjZWY0XHVkNGU4XHVkMTMwOiAyLCA0PFwvcD5cclxuXHRcdFx0PFwvdGQ+XHJcblx0XHQ8XC90cj5cclxuXHRcdDx0cj5cclxuXHRcdFx0PHRkPjlcdWM3N2M8XC90ZD5cclxuXHRcdFx0PHRkPlxyXG5cdFx0XHQ8cD4kQ18zID0gMiQgXHVjNzc0XHViYmMwXHViODVjIFx1YzE4Y1x1ZDUwNFx1ZDJiOFx1YzZlOFx1YzViNFx1YjI5NCBcdWNlZjRcdWQ0ZThcdWQxMzAgM1x1Yzc0NCBcdWNjOThcdWI5YWNcdWQ1NWNcdWIyZTQuIChcdWM3NzRcdWJiZjggXHViYzE1XHViYTc4XHViNDFjIFx1YzBjMVx1ZDBkY1x1Yzc3NFx1YmJjMFx1Yjg1YyBcdWJjYzBcdWQ2NTRcdWFjMDAgXHVjNWM2XHViMmU0Lik8XC9wPlxyXG5cclxuXHRcdFx0PHA+XHVhYzEwXHVjNWZjXHViNDFjIFx1Y2VmNFx1ZDRlOFx1ZDEzMDogMiwgNDxcL3A+XHJcblx0XHRcdDxcL3RkPlxyXG5cdFx0XHQ8dGQ+XHJcblx0XHRcdDxwPlx1YmNjMFx1ZDY1NCBcdWM1YzZcdWM3NGMuPFwvcD5cclxuXHJcblx0XHRcdDxwPlx1YWMxMFx1YzVmY1x1YjQxYyBcdWNlZjRcdWQ0ZThcdWQxMzA6IDIsIDQ8XC9wPlxyXG5cdFx0XHQ8XC90ZD5cclxuXHRcdDxcL3RyPlxyXG5cdFx0PHRyPlxyXG5cdFx0XHQ8dGQ+MTBcdWM3N2M8XC90ZD5cclxuXHRcdFx0PHRkPlxyXG5cdFx0XHQ8cD5cdWJjYzBcdWQ2NTQgXHVjNWM2XHVjNzRjLjxcL3A+XHJcblxyXG5cdFx0XHQ8cD5cdWFjMTBcdWM1ZmNcdWI0MWMgXHVjZWY0XHVkNGU4XHVkMTMwOiAyLCA0PFwvcD5cclxuXHRcdFx0PFwvdGQ+XHJcblx0XHRcdDx0ZD5cclxuXHRcdFx0PHA+XHViY2MwXHVkNjU0IFx1YzVjNlx1Yzc0Yy48XC9wPlxyXG5cclxuXHRcdFx0PHA+XHVhYzEwXHVjNWZjXHViNDFjIFx1Y2VmNFx1ZDRlOFx1ZDEzMDogMiwgNDxcL3A+XHJcblx0XHRcdDxcL3RkPlxyXG5cdFx0PFwvdHI+XHJcblx0XHQ8dHI+XHJcblx0XHRcdDx0ZD4xMVx1Yzc3YzxcL3RkPlxyXG5cdFx0XHQ8dGQ+XHJcblx0XHRcdDxwPiRDXzIgPSA0JCBcdWM3NzRcdWJiYzBcdWI4NWMgXHVjMThjXHVkNTA0XHVkMmI4XHVjNmU4XHVjNWI0XHViMjk0IFx1Y2VmNFx1ZDRlOFx1ZDEzMCAyXHVjNzU4IG1hbHdhcmVcdWI5N2MgXHViYzE1XHViYTc4XHVkNTVjXHViMmU0LjxcL3A+XHJcblxyXG5cdFx0XHQ8cD5cdWFjMTBcdWM1ZmNcdWI0MWMgXHVjZWY0XHVkNGU4XHVkMTMwOiA0PFwvcD5cclxuXHRcdFx0PFwvdGQ+XHJcblx0XHRcdDx0ZD5cclxuXHRcdFx0PHA+XHViY2MwXHVkNjU0IFx1YzVjNlx1Yzc0Yy48XC9wPlxyXG5cclxuXHRcdFx0PHA+XHVhYzEwXHVjNWZjXHViNDFjIFx1Y2VmNFx1ZDRlOFx1ZDEzMDogNDxcL3A+XHJcblx0XHRcdDxcL3RkPlxyXG5cdFx0PFwvdHI+XHJcblx0XHQ8dHI+XHJcblx0XHRcdDx0ZD4xMlx1Yzc3YzxcL3RkPlxyXG5cdFx0XHQ8dGQ+XHJcblx0XHRcdDxwPlx1YmNjMFx1ZDY1NCBcdWM1YzZcdWM3NGMuPFwvcD5cclxuXHJcblx0XHRcdDxwPlx1YWMxMFx1YzVmY1x1YjQxYyBcdWNlZjRcdWQ0ZThcdWQxMzA6IDQ8XC9wPlxyXG5cdFx0XHQ8XC90ZD5cclxuXHRcdFx0PHRkPlxyXG5cdFx0XHQ8cD5cdWJjYzBcdWQ2NTQgXHVjNWM2XHVjNzRjLjxcL3A+XHJcblxyXG5cdFx0XHQ8cD5cdWFjMTBcdWM1ZmNcdWI0MWMgXHVjZWY0XHVkNGU4XHVkMTMwOiA0PFwvcD5cclxuXHRcdFx0PFwvdGQ+XHJcblx0XHQ8XC90cj5cclxuXHRcdDx0cj5cclxuXHRcdFx0PHRkPjEzXHVjNzdjPFwvdGQ+XHJcblx0XHRcdDx0ZD5cclxuXHRcdFx0PHA+JENfNCA9NiQgXHVjNzc0XHViYmMwXHViODVjIFx1YzE4Y1x1ZDUwNFx1ZDJiOFx1YzZlOFx1YzViNFx1YjI5NCBcdWNlZjRcdWQ0ZThcdWQxMzAgNFx1Yzc1OCBtYWx3YXJlXHViOTdjIFx1YmMxNVx1YmE3OFx1ZDU1Y1x1YjJlNC48XC9wPlxyXG5cclxuXHRcdFx0PHA+XHVhYzEwXHVjNWZjXHViNDFjIFx1Y2VmNFx1ZDRlOFx1ZDEzMDogXHVjNWM2XHVjNzRjPFwvcD5cclxuXHRcdFx0PFwvdGQ+XHJcblx0XHRcdDx0ZD5cclxuXHRcdFx0PHA+XHViY2MwXHVkNjU0IFx1YzVjNlx1Yzc0Yy48XC9wPlxyXG5cclxuXHRcdFx0PHA+XHVhYzEwXHVjNWZjXHViNDFjIFx1Y2VmNFx1ZDRlOFx1ZDEzMDogXHVjNWM2XHVjNzRjPFwvcD5cclxuXHRcdFx0PFwvdGQ+XHJcblx0XHQ8XC90cj5cclxuXHRcdDx0cj5cclxuXHRcdFx0PHRkPjE0XHVjNzdjPFwvdGQ+XHJcblx0XHRcdDx0ZD5cclxuXHRcdFx0PHA+XHVjMThjXHVkNTA0XHVkMmI4XHVjNmU4XHVjNWI0XHViMjk0IFx1YWNjNFx1YzE4ZCBcdWM3OTFcdWIzZDlcdWQ1NThcdWM5YzBcdWI5Y2MgXHViYWE4XHViNGUwIFx1Y2VmNFx1ZDRlOFx1ZDEzMFx1YzVkMFx1YzExYyBtYWx3YXJlXHVhYzAwIFx1YmMxNVx1YmE3OFx1YjQxYyBcdWMwYzFcdWQwZGNcdWI4NWMgXHVjNzIwXHVjOWMwXHViNDFjXHViMmU0LjxcL3A+XHJcblx0XHRcdDxcL3RkPlxyXG5cdFx0XHQ8dGQ+XHJcblx0XHRcdDxwPlx1YmNjMFx1ZDY1NCBcdWM1YzZcdWM3NGMuPFwvcD5cclxuXHRcdFx0PFwvdGQ+XHJcblx0XHQ8XC90cj5cclxuXHQ8XC90Ym9keT5cclxuPFwvdGFibGU+XHJcblxyXG48cD5BbGJlcnRcdWIyOTQgXHViOWU0XHVjNzdjIFx1YmMyNCAxMVx1YzJkY1x1YzVkMCBtYWx3YXJlXHVjNWQwIFx1YWMxMFx1YzVmY1x1YjQxYyBcdWNlZjRcdWQ0ZThcdWQxMzBcdWM3NTggXHVjMjE4XHViOTdjIFx1Y2UyMVx1YzgxNVx1ZDU1OFx1YjI5NCBcdWJjODRcdWI5ODdcdWM3NzQgXHVjNzg4XHViMjk0XHViMzcwLCAkaiQgXHViYzg4XHVjOWY4IFx1YjBhMCBcdWJjMjQgMTFcdWMyZGNcdWI5N2MgXHVhZTMwXHVjOTAwXHVjNzNjXHViODVjIG1hbHdhcmVcdWM1ZDAgXHVhYzEwXHVjNWZjXHViNDFjIFx1Y2VmNFx1ZDRlOFx1ZDEzMFx1Yzc1OCBcdWMyMThcdWI5N2MgJFNfaiQgXHViNzdjIFx1ZDU1OFx1Yzc5MC4gQWxiZXJ0XHViMjk0IDFcdWM3N2NcdWM5ZjhcdWJkODBcdWQxMzAgJEskIFx1Yzc3Y1x1YzlmOCBcdWJjMjRcdWFlNGNcdWM5YzAgXHVjNzc0IFx1YWMxMlx1Yzc0NCBcdWNlMjFcdWM4MTVcdWQ1NThcdWM1ZWMsIFx1YWRmOCBcdWNkMWRcdWQ1NjlcdWM3NzggJFxcc3VtX3sxIFxcbGUgaiBcXGxlIEt9IFNfaiQgXHVhYzAwIFx1YmIzNFx1YzVjN1x1Yzc3OFx1YzljMCBcdWM1NGNcdWFjZTAgXHVjMmY2XHViMmU0LiBcdWM3MDRcdWM3NTggXHVjNjA4XHVjODFjXHVjNWQwXHVjMTFjICRLID0gMTEkIFx1Yzc3NFx1Yjc3Y1x1YmE3NCAkUyA9IFs1LCA0LCA0LCA0LCA0LCA0LCAzLCAyLCAyLCAyLCAxXSQgXHVjNzc0IFx1YjQxOFx1YmJjMFx1Yjg1YyBcdWM4MTVcdWIyZjVcdWM3NDAgMzVcdWFjMDAgXHViNDFjXHViMmU0LjxcL3A+XHJcblxyXG48cD5cdWM3ODVcdWI4MjVcdWM3M2NcdWI4NWMgJE4sIE0sIEMsIFgsIFksIFAsIEskXHVhYzAwIFx1YzhmY1x1YzViNFx1Yzg0Y1x1Yzc0NCBcdWI1NGMsICRcXHN1bV97MSBcXGxlIGogXFxsZSBLfSBTX2okIFx1YWMxMlx1Yzc0NCBcdWFkNmNcdWQ1NzRcdWJjZjRcdWM3OTAuPFwvcD5cclxuIiwiaW5wdXQiOiI8cD5cdWM3ODVcdWI4MjUgXHVjY2FiIFx1YzkwNFx1YzVkMCBcdWQxNGNcdWMyYTRcdWQyYjggXHVjZjAwXHVjNzc0XHVjMmE0XHVjNzU4IFx1YzIxOCAkVCQgXHVhYzAwIFx1YzhmY1x1YzViNFx1YzljNFx1YjJlNC48XC9wPlxyXG5cclxuPHA+XHVhYzAxIFx1ZDE0Y1x1YzJhNFx1ZDJiOCBcdWNmMDBcdWM3NzRcdWMyYTRcdWM3NTggXHVjY2FiIFx1YzkwNFx1YzVkMFx1YjI5NCAkTiwgTSwgUCwgSyQgXHVhYzAwIFx1YWNmNVx1YmMzMVx1YzczY1x1Yjg1YyBcdWFkNmNcdWJkODRcdWI0MThcdWM1YjQgXHVjOGZjXHVjNWI0XHVjOWM0XHViMmU0LiBcdWI0NThcdWM5ZjggXHVjOTA0XHVjNWQwXHViMjk0IFx1YmMzMFx1YzVmNCAkQyQgXHVjNzU4IFx1YWMxMlx1Yzc3OCAkTiQgXHVhYzFjXHVjNzU4IFx1YzgxNVx1YzIxOFx1YWMwMCBcdWFjZjVcdWJjMzFcdWM3M2NcdWI4NWMgXHVhZDZjXHViZDg0XHViNDE4XHVjNWI0IFx1YzhmY1x1YzViNFx1YzljNFx1YjJlNC4gXHViMmU0XHVjNzRjICRNJCBcdWM5MDRcdWM1ZDAgXHVhYzc4XHVjY2QwIFx1YWMwMSBcdWM5MDRcdWM1ZDAgXHVkNTVjIFx1YzMwZFx1Yzc1OCBcdWM4MTVcdWMyMThcdWFjMDAgXHVhY2Y1XHViYzMxXHVjNzNjXHViODVjIFx1YWQ2Y1x1YmQ4NFx1YjQxOFx1YzViNCBcdWM4ZmNcdWM1YjRcdWM5YzBcdWIyOTRcdWIzNzAsIFx1Yzc3NFx1YjI5NCBcdWJjMjlcdWQ2NTRcdWJjYmQgXHVjNWM2XHVjNzc0IFx1YzVmMFx1YWNiMFx1YjQxYyBcdWNlZjRcdWQ0ZThcdWQxMzAgXHVjMzBkICRYX2ksIFlfaSQgXHViOTdjIFx1YjA5OFx1ZDBjMFx1YjBiOFx1YjJlNC48XC9wPlxyXG4iLCJvdXRwdXQiOiI8cD5cdWFjMDEgXHVkMTRjXHVjMmE0XHVkMmI4IFx1Y2YwMFx1Yzc3NFx1YzJhNFx1Yzc1OCBcdWM4MTVcdWIyZjVcdWM3NzggJFxcc3VtX3sxIFxcbGUgaiBcXGxlIEt9IFNfaiQgXHVhYzEyXHVjNzQ0ICQxMF45ICsgNyQgXHViODVjIFx1YjA5OFx1YjIwOCBcdWIwOThcdWJhMzhcdWM5YzBcdWI5N2MgXHVhYzAxIFx1YzkwNFx1YzVkMCBcdWNkOWNcdWI4MjVcdWQ1NWNcdWIyZTQuPFwvcD5cclxuIiwiaGludCI6IiIsIm9yaWdpbmFsIjoiMSIsImh0bWxfdGl0bGUiOiIwIiwicHJvYmxlbV9sYW5nX3Rjb2RlIjoiS29yZWFuIiwibGltaXQiOiI8dWw+XHJcblx0PGxpPiQxIFxcbGUgVCBcXGxlIDE1JDxcL2xpPlxyXG5cdDxsaT4kMSBcXGxlIE4gXFxsZSA1MCwwMDAkPFwvbGk+XHJcblx0PGxpPiQxIFxcbGUgTSBcXGxlIFxcbWluKFxcYmlub217Tn17Mn0sIDIwMCwwMDApJDxcL2xpPlxyXG5cdDxsaT4kTiBcXGxlIFAgXFxsZSAxNTAsMDAwJDxcL2xpPlxyXG5cdDxsaT4kMSBcXGxlIEsgXFxsZSAxLDIzNCw1NjcsODkwJDxcL2xpPlxyXG5cdDxsaT4kMSBcXGxlIGkgXFxsZSBOJCBcdWM3NzggXHVhYzAxICRpJFx1YzVkMCBcdWIzMDBcdWQ1NThcdWM1ZWM6ICQxXFxsZSBDX2kgXFxsZSBQJDxcL2xpPlxyXG5cdDxsaT4kQ19pID0gQ19qJCBcdWM3NzRcdWJhNzRcdWMxMWMgJGkgXFxuZXEgaiQgXHVjNzc4IFx1YWNiZFx1YzZiMFx1YjI5NCBcdWM1YzZcdWIyZTQgKFx1Yzk4OSwgXHViYzMwXHVjNWY0ICRDJCBcdWM3NTggXHVjNmQwXHVjMThjXHViMjk0IFx1YWNlMFx1YzcyMFx1ZDU1OFx1YjJlNCk8XC9saT5cclxuXHQ8bGk+JDEgXFxsZSBpIFxcbGUgTSQgXHVjNzc4IFx1YWMwMSAkaSRcdWM1ZDAgXHViMzAwXHVkNTU4XHVjNWVjOlxyXG5cdDx1bD5cclxuXHRcdDxsaT4kMSBcXGxlIFhfaSwgWV9pIFxcbGUgTiQgXHVjNzc0XHVhY2UwICRYX2kgXFxuZXEgWV9pJDxcL2xpPlxyXG5cdDxcL3VsPlxyXG5cdDxcL2xpPlxyXG5cdDxsaT4kKFhfaSwgWV9pKSA9IChYX2osIFlfaikkIFx1Yzc3NFx1YmE3NFx1YzExYyAkaSBcXG5lcSBqJCBcdWM3NzggXHVhY2JkXHVjNmIwXHViMjk0IFx1YzVjNlx1YjJlNCAoXHVjOTg5LCAkWCBcXHRpbWVzIFkkIFx1Yzc1OCBcdWM2ZDBcdWMxOGNcdWIyOTQgXHVhY2UwXHVjNzIwXHVkNTU4XHViMmU0KTxcL2xpPlxyXG48XC91bD5cclxuXHJcbiIsInNhbXBsZV9leHBsYWluXzEiOiI8cD5cdWM2MDhcdWM4MWMgMTogXHViY2Y4XHViYjM4XHVjNWQwXHVjMTFjIFx1YjJlNFx1YjhlOFx1YzVjOFx1YjJlNC48XC9wPlxyXG5cclxuPHA+XHVjNjA4XHVjODFjIDI6IFx1Y2VmNFx1ZDRlOFx1ZDEzMCBcdWI0NTAgXHViMzAwXHVhYzAwIFx1YzExY1x1Yjg1YyBtYWx3YXJlXHViOTdjIFx1YWNjNFx1YzE4ZCBcdWM4MDRcdWQzMGNcdWQ1NThcdWJiYzBcdWI4NWMgXHVjNWI4XHVjODFjXHViMDk4ICRTX2ogPSAyJCBcdWM3NzRcdWIyZTQuPFwvcD5cclxuXHJcbjxwPlx1YzYwOFx1YzgxYyAzOiAkUyA9IFszLCAzLCAyLCAyLCAxLCAxLCAxLCAxLCAxLCAxLCAwXSQgXHVjNzc0XHViMmU0LiA8XC9wPlxyXG5cclxuPHA+XHVjNjA4XHVjODFjIDQ6IFx1YzViOFx1YzgxY1x1YjA5OCAkU19qID0gNSQgXHVjNzc0XHViMmU0LjxcL3A+XHJcblxyXG48cD5cdWM2MDhcdWM4MWMgNS04OiBcdWNkOTRcdWFjMDAgXHVjMTI0XHViYTg1IFx1YzVjNlx1Yzc0YzxcL3A+XHJcbiJ9LHsicHJvYmxlbV9pZCI6IjMxODA5IiwicHJvYmxlbV9sYW5nIjoiMSIsInRpdGxlIjoiRWxpbWluYXRpb24gb2YgTWFsd2FyZSIsImRlc2NyaXB0aW9uIjoiPHA+QWxiZXJ0IGhhcyBhIGNsdXN0ZXIgb2YgJE4kIGNvbXB1dGVycywgYW5kIGV2ZXJ5IGNvbXB1dGVyIGluIHRoZSBjbHVzdGVyIGlzIGluZmVjdGVkIHdpdGggbWFsd2FyZSAodGhlIGNvbXB1dGVycyBhcmUgY29udmVuaWVudGx5IG51bWJlcmVkIGFzICQxLCAyLCBcXGRvdHMsIE4kKS4mbmJzcDs8XC9wPlxyXG5cclxuPHA+VGhlcmUgYXJlICRNJCBwYWlycyBvZiBjb21wdXRlcnMgd2hlcmUgdGhlIHR3byBjb21wdXRlcnMgaW4gZWFjaCBwYWlyIGFyZSBjb25uZWN0ZWQgdG8gZWFjaCBvdGhlciB2aWEgJnF1b3Q7RGlyZWN0IFdpcmluZyZxdW90OyZuYnNwO3dpdGhvdXQgYW55IGZpcmV3YWxsIHdoaWNoIGNvdWxkIGNvbnRpbnVlIHRvIHNwcmVhZCBtYWx3YXJlLiBTcGVjaWZpY2FsbHksIHdoZXJlICRYLCBZJCBhcmUgaW50ZWdlciBhcnJheXMgb2YgbGVuZ3RoICRNJCAoJFhfaSwgWV9pJCBkZXNjcmliZSB0aGUgY29tcHV0ZXJzJiMzOTsgbnVtYmVycyksIHRoZSBmb2xsb3dpbmcgZXZlbnRzIHRha2UgcGxhY2UgZWFjaCBldmVuaW5nOjxcL3A+XHJcblxyXG48dWw+XHJcblx0PGxpPkZvciBlYWNoICRpJCB3aXRoICQxIFxcbGUgaSBcXGxlIE0kLCBpZiBjb21wdXRlciAkWF9pJCBpcyBpbmZlY3RlZCBieSA2IFBNLCBjb21wdXRlciAkWV9pJCB3b3VsZCBiZSBpbmZlY3RlZCByaWdodCBhZnRlciA2IFBNLjxcL2xpPlxyXG5cdDxsaT5CZWNhdXNlIHRoaXMgc3ByZWFkIG9mIG1hbHdhcmUgaGFwcGVucyBzaW11bHRhbmVvdXNseSBmb3IgJE0kIHBhaXJzIG9mIGNvbXB1dGVycywgYSBuZXdseSBpbmZlY3RlZCBjb21wdXRlciBjYW5ub3QgaW1tZWRpYXRlbHkgaW5mZWN0IGFub3RoZXIgY29tcHV0ZXIuPFwvbGk+XHJcbjxcL3VsPlxyXG5cclxuPHA+Rm9yIGluc3RhbmNlLCB0aGUgZmlndXJlIGJlbG93IGRlc2NyaWJlcyBhbiBleGFtcGxlIHdoZXJlICROID0gNSwgTSA9IDYkLCAkWCA9IFs1LCAzLCAyLCAxLCA1LCAzXSQgYW5kICRZID0gWzQsIDIsIDQsIDIsIDIsIDFdJC48XC9wPlxyXG5cclxuPHAgc3R5bGU9XCJ0ZXh0LWFsaWduOiBjZW50ZXI7XCI+PGltZyBhbHQ9XCJcIiBzcmM9XCJodHRwczpcL1wvdXBsb2FkLmFjbWljcGMubmV0XC9kYWY1NDZmMi1lMjIwLTQ3N2YtODU4OC1hMmU0MjM4Zjg2ZmVcLy1cL3ByZXZpZXdcL1wiIHN0eWxlPVwiaGVpZ2h0OiAyMDZweDsgd2lkdGg6IDM1MHB4O1wiIFwvPjxcL3A+XHJcblxyXG48cD5BbGJlcnQgaGFzIGhhc3RpbHkgcHV0IHRvZ2V0aGVyIGFudGktbWFsd2FyZSZuYnNwO3NvZnR3YXJlIHRoYXQgY291bGQgc2NhbiBhbGwgY29tcHV0ZXJzJiMzOTsgZGF0YSBpbiBvcmRlciB0byBlbGltaW5hdGUgbWFsd2FyZS48XC9wPlxyXG5cclxuPG9sPlxyXG5cdDxsaT5UaGUgc29mdHdhcmUgcnVucyBmb3IgJFAkIGRheXMsIGFuZCBlbGltaW5hdGVzIG1hbHdhcmUgZnJvbSBlYWNoIGNvbXB1dGVyIGV4YWN0bHkgb25jZSAobm90ZSB0aGF0ICRQIFxcZ2UgTiQpLjxcL2xpPlxyXG5cdDxsaT5Gb3IgZWFjaCAkaSQgd2l0aCAkMSBcXGxlIGkgXFxsZSBOJCwgY29tcHV0ZXIgJGkkIGlzIHByb2Nlc3NlZCBvbiBkYXkgJENfaSQgYXQgMTAgQU0gYW5kIG1hbHdhcmUgd291bGQgYmUgZWxpbWluYXRlZCBmcm9tIHRoaXMgY29tcHV0ZXIgKHlldCwgYW5vdGhlciBjb21wdXRlciBjb3VsZCBpbmZlY3QgY29tcHV0ZXIgJGkkIGF0IDYgUE0gb24gdGhlIHNhbWUgZGF5KS48XC9saT5cclxuXHQ8bGk+VGhpcyBwcm9jZXNzIHJlcGVhdHMgaW5maW5pdGVseSBldmVyeSAkUCQgZGF5cy4gVGhhdCBpcywgY29tcHV0ZXIgJGkkIHdvdWxkIGJlIHByb2Nlc3NlZCBhdCAxMCBBTSBvbiBkYXkgJENfaSQsIGFnYWluIGF0IDEwIEFNIG9uIGRheSAkQ19pICsgMlAkLCBhZ2FpbiBvbiBkYXkgJENfaSArIDIgXFxjZG90IFBfaSQsJm5ic3A7YW5kIHNvIG9uLjxcL2xpPlxyXG48XC9vbD5cclxuXHJcbjxwPlN1cHBvc2UgdGhhdCBBbGJlcnQgaGFzIGEgY2x1c3RlciBsaWtlIHRoZSBleGFtcGxlIGFib3ZlIGFuZCB0aGF0Jm5ic3A7JFAgPSA3JCBhbmQgJEMgPSBbMSwgNCwgMiwgNiwgN10kLiBUaGVuLCB0aGUgc29mdHdhcmUgd291bGQgd29yayBhcyBmb2xsb3dzLjxcL3A+XHJcblxyXG48dGFibGUgY2xhc3M9XCJ0YWJsZSB0YWJsZS1ib3JkZXJlZFwiPlxyXG5cdDx0Ym9keT5cclxuXHRcdDx0cj5cclxuXHRcdFx0PHRkPkRhdGU8XC90ZD5cclxuXHRcdFx0PHRkPjEwIEFNPFwvdGQ+XHJcblx0XHRcdDx0ZD42IFBNPFwvdGQ+XHJcblx0XHQ8XC90cj5cclxuXHRcdDx0cj5cclxuXHRcdFx0PHRkPlxyXG5cdFx0XHQ8cD5EYXkgMFx1MjAwYlx1MjAwYlx1MjAwYlx1MjAwYlx1MjAwYlx1MjAwYjxcL3A+XHJcblx0XHRcdDxcL3RkPlxyXG5cdFx0XHQ8dGQ+XHJcblx0XHRcdDxwPkV2ZXJ5IGNvbXB1dGVyIGlzIGFscmVhZHkgaW5mZWN0ZWQgd2l0aCBtYWx3YXJlLjxcL3A+XHJcblxyXG5cdFx0XHQ8cD5JbmZlY3RlZCBDb21wdXRlcnM6IDEsIDIsIDMsIDQsIDU8XC9wPlxyXG5cdFx0XHQ8XC90ZD5cclxuXHRcdFx0PHRkPlxyXG5cdFx0XHQ8cD5FdmVyeSBjb21wdXRlciBpcyBhbHJlYWR5IGluZmVjdGVkIHdpdGggbWFsd2FyZS48XC9wPlxyXG5cclxuXHRcdFx0PHA+SW5mZWN0ZWQgQ29tcHV0ZXJzOiAxLCAyLCAzLCA0LCA1PFwvcD5cclxuXHRcdFx0PFwvdGQ+XHJcblx0XHQ8XC90cj5cclxuXHRcdDx0cj5cclxuXHRcdFx0PHRkPlxyXG5cdFx0XHQ8cD5EYXkgMTxcL3A+XHJcblx0XHRcdDxcL3RkPlxyXG5cdFx0XHQ8dGQ+XHJcblx0XHRcdDxwPiRDXzEgPSAxJCwgaGVuY2UgdGhlIHNvZnR3YXJlIGVsaW1pbmF0ZXMgbWFsd2FyZSBmcm9tIGNvbXB1dGVyIDEuPFwvcD5cclxuXHJcblx0XHRcdDxwPkluZmVjdGVkIENvbXB1dGVyczogMiwgMywgNCwgNTxcL3A+XHJcblx0XHRcdDxcL3RkPlxyXG5cdFx0XHQ8dGQ+XHJcblx0XHRcdDxwPkR1ZSB0byB0aGUgRGlyZWN0IFdpcmluZyAkMyBcXHRvIDEkLCBjb21wdXRlciAxIGlzIHJlLWluZmVjdGVkIHdpdGggbWFsd2FyZS48XC9wPlxyXG5cclxuXHRcdFx0PHA+SW5mZWN0ZWQgQ29tcHV0ZXJzOiAxLCAyLCAzLCA0LCA1PFwvcD5cclxuXHRcdFx0PFwvdGQ+XHJcblx0XHQ8XC90cj5cclxuXHRcdDx0cj5cclxuXHRcdFx0PHRkPlxyXG5cdFx0XHQ8cD5EYXkgMjxcL3A+XHJcblx0XHRcdDxcL3RkPlxyXG5cdFx0XHQ8dGQ+XHJcblx0XHRcdDxwPiRDXzMgPSAyJCwgaGVuY2UgdGhlIHNvZnR3YXJlIGVsaW1pbmF0ZXMgbWFsd2FyZSBmcm9tIGNvbXB1dGVyIDMuPFwvcD5cclxuXHJcblx0XHRcdDxwPkluZmVjdGVkIENvbXB1dGVyczogMSwgMiwgNCwgNTxcL3A+XHJcblx0XHRcdDxcL3RkPlxyXG5cdFx0XHQ8dGQ+XHJcblx0XHRcdDxwPkNvbXB1dGVyIDMgaXMgbm90IHJlLWluZmVjdGVkJm5ic3A7KGFzIG5vICRpJCBleGlzdHMgd2l0aCAkWV9pID0gMyQpLjxcL3A+XHJcblxyXG5cdFx0XHQ8cD5JbmZlY3RlZCBDb21wdXRlcnM6IDEsIDIsIDQsIDU8XC9wPlxyXG5cdFx0XHQ8XC90ZD5cclxuXHRcdDxcL3RyPlxyXG5cdFx0PHRyPlxyXG5cdFx0XHQ8dGQ+XHJcblx0XHRcdDxwPkRheSAzPFwvcD5cclxuXHRcdFx0PFwvdGQ+XHJcblx0XHRcdDx0ZD5cclxuXHRcdFx0PHA+VGhlcmUgaXMgbm8gJGkkIHdpdGggJENfaSA9IDMkLCBzbyBubyBtYWx3YXJlIGlzIGVsaW1pbmF0ZWQuPFwvcD5cclxuXHJcblx0XHRcdDxwPkluZmVjdGVkIENvbXB1dGVyczogMSwgMiwgNCwgNTxcL3A+XHJcblx0XHRcdDxcL3RkPlxyXG5cdFx0XHQ8dGQ+XHJcblx0XHRcdDxwPk5vIGNoYW5nZXMuPFwvcD5cclxuXHJcblx0XHRcdDxwPkluZmVjdGVkIENvbXB1dGVyczogMSwgMiwgNCwgNTxcL3A+XHJcblx0XHRcdDxcL3RkPlxyXG5cdFx0PFwvdHI+XHJcblx0XHQ8dHI+XHJcblx0XHRcdDx0ZD5cclxuXHRcdFx0PHA+RGF5IDQ8XC9wPlxyXG5cdFx0XHQ8XC90ZD5cclxuXHRcdFx0PHRkPlxyXG5cdFx0XHQ8cD4kQ18yID0gNCQsIGhlbmNlIHRoZSBzb2Z0d2FyZSBlbGltaW5hdGVzIG1hbHdhcmUgZnJvbSBjb21wdXRlciAyLjxcL3A+XHJcblxyXG5cdFx0XHQ8cD5JbmZlY3RlZCBDb21wdXRlcnM6IDEsIDQsIDU8XC9wPlxyXG5cdFx0XHQ8XC90ZD5cclxuXHRcdFx0PHRkPlxyXG5cdFx0XHQ8cD5EdWUgdG8gdGhlIERpcmVjdCBXaXJpbmcgJDEgXFx0byAyJCwgY29tcHV0ZXIgMiBpcyByZS1pbmZlY3RlZCB3aXRoIG1hbHdhcmUuJm5ic3A7PFwvcD5cclxuXHJcblx0XHRcdDxwPkluZmVjdGVkIENvbXB1dGVyczogMSwgMiwgNCwgNTxcL3A+XHJcblx0XHRcdDxcL3RkPlxyXG5cdFx0PFwvdHI+XHJcblx0XHQ8dHI+XHJcblx0XHRcdDx0ZD5cclxuXHRcdFx0PHA+RGF5IDU8XC9wPlxyXG5cdFx0XHQ8XC90ZD5cclxuXHRcdFx0PHRkPlxyXG5cdFx0XHQ8cD5UaGVyZSBpcyBubyAkaSQgd2l0aCAkQ19pID0gNSQsIHNvIG5vIG1hbHdhcmUgaXMgZWxpbWluYXRlZC48XC9wPlxyXG5cclxuXHRcdFx0PHA+SW5mZWN0ZWQgQ29tcHV0ZXJzOiAxLCAyLCA0LCA1PFwvcD5cclxuXHRcdFx0PFwvdGQ+XHJcblx0XHRcdDx0ZD5cclxuXHRcdFx0PHA+Tm8gY2hhbmdlcy48XC9wPlxyXG5cclxuXHRcdFx0PHA+SW5mZWN0ZWQgQ29tcHV0ZXJzOiAxLCAyLCA0LCA1PFwvcD5cclxuXHRcdFx0PFwvdGQ+XHJcblx0XHQ8XC90cj5cclxuXHRcdDx0cj5cclxuXHRcdFx0PHRkPlxyXG5cdFx0XHQ8cD5EYXkgNjxcL3A+XHJcblx0XHRcdDxcL3RkPlxyXG5cdFx0XHQ8dGQ+XHJcblx0XHRcdDxwPiRDXzQgPTYkLCBoZW5jZSB0aGUgc29mdHdhcmUgZWxpbWluYXRlcyBtYWx3YXJlIGZyb20gY29tcHV0ZXIgNC48XC9wPlxyXG5cclxuXHRcdFx0PHA+SW5mZWN0ZWQgQ29tcHV0ZXJzOiAxLCAyLCA1PFwvcD5cclxuXHRcdFx0PFwvdGQ+XHJcblx0XHRcdDx0ZD5cclxuXHRcdFx0PHA+RHVlIHRvIHRoZSBEaXJlY3QgV2lyaW5ncyAkMiBcXHRvIDQkIGFuZCAkNSBcXHRvIDQkLCBjb21wdXRlciA0IGlzIHJlLWluZmVjdGVkLjxcL3A+XHJcblxyXG5cdFx0XHQ8cD5JbmZlY3RlZCBDb21wdXRlcnM6IDEsIDIsIDQsIDU8XC9wPlxyXG5cdFx0XHQ8XC90ZD5cclxuXHRcdDxcL3RyPlxyXG5cdFx0PHRyPlxyXG5cdFx0XHQ8dGQ+XHJcblx0XHRcdDxwPkRheSA3PFwvcD5cclxuXHRcdFx0PFwvdGQ+XHJcblx0XHRcdDx0ZD5cclxuXHRcdFx0PHA+JENfNSA9NyQsIGhlbmNlIHRoZSBzb2Z0d2FyZSBlbGltaW5hdGVzIG1hbHdhcmUgZnJvbSBjb21wdXRlciA1LjxcL3A+XHJcblxyXG5cdFx0XHQ8cD5JbmZlY3RlZCBDb21wdXRlcnM6IDEsIDIsIDQ8XC9wPlxyXG5cdFx0XHQ8XC90ZD5cclxuXHRcdFx0PHRkPlxyXG5cdFx0XHQ8cD5Db21wdXRlciA1IGlzIG5vdCByZS1pbmZlY3RlZCZuYnNwOyhhcyBubyAkaSQgZXhpc3RzIHdpdGggJFlfaSA9IDUkKS48XC9wPlxyXG5cclxuXHRcdFx0PHA+SW5mZWN0ZWQgQ29tcHV0ZXJzOiAxLCAyLCA0PFwvcD5cclxuXHJcblx0XHRcdDxwPk5vdGUgdGhhdCBzdGFydGluZyBvbiBEYXkgOCwgdGhlIHNvZnR3YXJlIHJ1bnMgZnJvbSB0aGUgYmVnaW5uaW5nIGFnYWluIHNpbmNlICRQID0gNyQuPFwvcD5cclxuXHRcdFx0PFwvdGQ+XHJcblx0XHQ8XC90cj5cclxuXHRcdDx0cj5cclxuXHRcdFx0PHRkPkRheSA4PFwvdGQ+XHJcblx0XHRcdDx0ZD5cclxuXHRcdFx0PHA+JENfMSA9IDEkLCBoZW5jZSB0aGUgc29mdHdhcmUgZWxpbWluYXRlcyBtYWx3YXJlIGZyb20gY29tcHV0ZXIgMS48XC9wPlxyXG5cclxuXHRcdFx0PHA+SW5mZWN0ZWQgQ29tcHV0ZXJzOiAyLCA0PFwvcD5cclxuXHRcdFx0PFwvdGQ+XHJcblx0XHRcdDx0ZD5cclxuXHRcdFx0PHA+Q29tcHV0ZXIgMSBpcyBub3QgcmUtaW5mZWN0ZWQgYmVjYXVzZSBjb21wdXRlciAzIGlzIG5vdCBpbmZlY3RlZCBhbnltb3JlLjxcL3A+XHJcblxyXG5cdFx0XHQ8cD5JbmZlY3RlZCBDb21wdXRlcnM6IDIsIDQ8XC9wPlxyXG5cdFx0XHQ8XC90ZD5cclxuXHRcdDxcL3RyPlxyXG5cdFx0PHRyPlxyXG5cdFx0XHQ8dGQ+RGF5IDk8XC90ZD5cclxuXHRcdFx0PHRkPlxyXG5cdFx0XHQ8cD4kQ18zID0gMiQsIGhlbmNlIHRoZSBzb2Z0d2FyZSBlbGltaW5hdGVzIG1hbHdhcmUgZnJvbSBjb21wdXRlciAzLiAoU2luY2UgY29tcHV0ZXIgMyBpcyBub3QgaW5mZWN0ZWQgd2l0aCBtYWx3YXJlLCB0aGVyZSBpcyBubyBjaGFuZ2UuKTxcL3A+XHJcblxyXG5cdFx0XHQ8cD5JbmZlY3RlZCBDb21wdXRlcnM6IDIsIDQ8XC9wPlxyXG5cdFx0XHQ8XC90ZD5cclxuXHRcdFx0PHRkPlxyXG5cdFx0XHQ8cD5ObyBjaGFuZ2VzLjxcL3A+XHJcblxyXG5cdFx0XHQ8cD5JbmZlY3RlZCBDb21wdXRlcnM6IDIsIDQ8XC9wPlxyXG5cdFx0XHQ8XC90ZD5cclxuXHRcdDxcL3RyPlxyXG5cdFx0PHRyPlxyXG5cdFx0XHQ8dGQ+RGF5IDEwPFwvdGQ+XHJcblx0XHRcdDx0ZD5cclxuXHRcdFx0PHA+Tm8gY2hhbmdlcy48XC9wPlxyXG5cclxuXHRcdFx0PHA+SW5mZWN0ZWQgQ29tcHV0ZXJzOiAyLCA0PFwvcD5cclxuXHRcdFx0PFwvdGQ+XHJcblx0XHRcdDx0ZD5cclxuXHRcdFx0PHA+Tm8gY2hhbmdlcy48XC9wPlxyXG5cclxuXHRcdFx0PHA+SW5mZWN0ZWQgQ29tcHV0ZXJzOiAyLCA0PFwvcD5cclxuXHRcdFx0PFwvdGQ+XHJcblx0XHQ8XC90cj5cclxuXHRcdDx0cj5cclxuXHRcdFx0PHRkPkRheSAxMTxcL3RkPlxyXG5cdFx0XHQ8dGQ+XHJcblx0XHRcdDxwPiRDXzIgPSA0JCwgaGVuY2UgdGhlIHNvZnR3YXJlIGVsaW1pbmF0ZXMgbWFsd2FyZSBmcm9tIGNvbXB1dGVyIDIuPFwvcD5cclxuXHJcblx0XHRcdDxwPkluZmVjdGVkIENvbXB1dGVyczogNDxcL3A+XHJcblx0XHRcdDxcL3RkPlxyXG5cdFx0XHQ8dGQ+XHJcblx0XHRcdDxwPk5vIGNoYW5nZXMuPFwvcD5cclxuXHJcblx0XHRcdDxwPkluZmVjdGVkIENvbXB1dGVyczogNDxcL3A+XHJcblx0XHRcdDxcL3RkPlxyXG5cdFx0PFwvdHI+XHJcblx0XHQ8dHI+XHJcblx0XHRcdDx0ZD5EYXkgMTI8XC90ZD5cclxuXHRcdFx0PHRkPlxyXG5cdFx0XHQ8cD5ObyBjaGFuZ2VzLjxcL3A+XHJcblxyXG5cdFx0XHQ8cD5JbmZlY3RlZCBDb21wdXRlcnM6IDQ8XC9wPlxyXG5cdFx0XHQ8XC90ZD5cclxuXHRcdFx0PHRkPlxyXG5cdFx0XHQ8cD5ObyBjaGFuZ2VzLjxcL3A+XHJcblxyXG5cdFx0XHQ8cD5JbmZlY3RlZCBDb21wdXRlcnM6IDQ8XC9wPlxyXG5cdFx0XHQ8XC90ZD5cclxuXHRcdDxcL3RyPlxyXG5cdFx0PHRyPlxyXG5cdFx0XHQ8dGQ+RGF5IDEzPFwvdGQ+XHJcblx0XHRcdDx0ZD5cclxuXHRcdFx0PHA+JENfNCA9NiQsIGhlbmNlIHRoZSBzb2Z0d2FyZSBlbGltaW5hdGVzIG1hbHdhcmUgZnJvbSBjb21wdXRlciA0LjxcL3A+XHJcblxyXG5cdFx0XHQ8cD5JbmZlY3RlZCBDb21wdXRlcnM6IE5vbmU8XC9wPlxyXG5cdFx0XHQ8XC90ZD5cclxuXHRcdFx0PHRkPlxyXG5cdFx0XHQ8cD5ObyBjaGFuZ2VzLjxcL3A+XHJcblxyXG5cdFx0XHQ8cD5JbmZlY3RlZCBDb21wdXRlcnM6IE5vbmU8XC9wPlxyXG5cdFx0XHQ8XC90ZD5cclxuXHRcdDxcL3RyPlxyXG5cdFx0PHRyPlxyXG5cdFx0XHQ8dGQ+RGF5IDE0PFwvdGQ+XHJcblx0XHRcdDx0ZD5cclxuXHRcdFx0PHA+VGhlIHNvZnR3YXJlIHdpbGwgY29udGludWUgdG8gcnVuLCBhbmQgYWxsIGNvbXB1dGVycyBhcmUgbm8gbG9uZ2VyIGluZmVjdGVkIHdpdGggbWFsd2FyZS48XC9wPlxyXG5cdFx0XHQ8XC90ZD5cclxuXHRcdFx0PHRkPk5vIGNoYW5nZXMuPFwvdGQ+XHJcblx0XHQ8XC90cj5cclxuXHQ8XC90Ym9keT5cclxuPFwvdGFibGU+XHJcblxyXG48cD5BbGJlcnQgaGFzIGEgaGFiaXQgb2YgY291bnRpbmcgdGhlIG51bWJlciBvZiBjb21wdXRlcnMgaW5mZWN0ZWQgd2l0aCBtYWx3YXJlLCBhdCAxMSBQTSBldmVyeSBkYXkuIExldCAkU19qJCBiZSB0aGUgbnVtYmVyIG9mIGNvbXB1dGVycyBpbmZlY3RlZCB3aXRoIG1hbHdhcmUgYXQgMTEgUE0gb24gZGF5ICRpJC4gQWxiZXJ0IHdhbnRzIHRvIHRyYWNrIHRoZSB0cmVuZCBmb3IgJEskIGRheXMsJm5ic3A7YW5kIGNvbXB1dGUmbmJzcDskXFxzdW1fezEgXFxsZSBqIFxcbGUgS30gU19qJC4gSW4gdGhlIGV4YW1wbGUgYWJvdmUsIGlmJm5ic3A7JEsgPSAxMSQsIHRoZW4gQWxiZXJ0IHdvdWxkIGhhdmUgJFMgPSBbNSwgNCwgNCwgNCwgNCwgNCwgMywgMiwgMiwgMiwgMV0kIGFuZCB0aGUgYW5zd2VyIHdpbGwgYmUgMzUuPFwvcD5cclxuXHJcbjxwPkdpdmVuICROLCBNLCBDLCBYLCBZLCBQLCBLJCBhcyBpbnB1dCwgY29tcHV0ZSAkXFxzdW1fezEgXFxsZSBqIFxcbGUgS30gU19qJC48XC9wPlxyXG4iLCJpbnB1dCI6IjxwPlRoZSBmaXJzdCBsaW5lIG9mIGlucHV0IHdpbGwgY29udGFpbiAkVCQsIHRoZSBudW1iZXIgb2YgdGVzdCBjYXNlcy48XC9wPlxyXG5cclxuPHA+VGhlIGZpcnN0IGxpbmUgb2YgZWFjaCB0ZXN0IGNhc2Ugd2lsbCBjb250YWluICROLCBNLCBQLCBLJCwgc2VwYXJhdGVkIGJ5IHdoaXRlc3BhY2UuIFRoZSBzZWNvbmQgbGluZSB3aWxsIGNvbnRhaW4gJE4kIGludGVnZXJzIGRlc2NyaWJpbmcgdGhlIGFycmF5ICRDJCwgc2VwYXJhdGVkIGJ5IHdoaXRlc3BhY2UuIEVhY2ggb2YgdGhlIG5leHQgJE0kIGxpbmVzIHdpbGwgY29udGFpbiBhIHBhaXIgb2YgaW50ZWdlcnMsICRYX2ksIFlfaSQsIHNlcGFyYXRlZCBieSB3aGl0ZXNwYWNlLCBkZXNjcmliaW5nIGEgcGFpciBvZiBjb21wdXRlcnMgdGhhdCBhcmUgY29ubmVjdGVkIHRvIGVhY2ggb3RoZXIgdmlhIERpcmVjdCBXaXJpbmcuPFwvcD5cclxuIiwib3V0cHV0IjoiPHA+T3V0cHV0IHRoZSBhbnN3ZXIsJm5ic3A7JFxcc3VtX3sxIFxcbGUgaiBcXGxlIEt9IFNfaiQsIG9mIGVhY2ggdGVzdCBjYXNlIGluIGVhY2ggbGluZS48XC9wPlxyXG4iLCJoaW50IjoiIiwib3JpZ2luYWwiOiIwIiwiaHRtbF90aXRsZSI6IjAiLCJwcm9ibGVtX2xhbmdfdGNvZGUiOiJFbmdsaXNoIiwibGltaXQiOiI8dWw+XHJcblx0PGxpPiQxIFxcbGUgVCBcXGxlIDE1JDxcL2xpPlxyXG5cdDxsaT4kMSBcXGxlIE4gXFxsZSA1MCwwMDAkPFwvbGk+XHJcblx0PGxpPiQxIFxcbGUgTSBcXGxlIFxcbWluKFxcYmlub217Tn17Mn0sIDIwMCwwMDApJDxcL2xpPlxyXG5cdDxsaT4kTiBcXGxlIFAgXFxsZSAxNTAsMDAwJDxcL2xpPlxyXG5cdDxsaT4kMSBcXGxlIEsgXFxsZSAxLDIzNCw1NjcsODkwJDxcL2xpPlxyXG5cdDxsaT5Gb3IgZWFjaCAkaSQgd2l0aCAkMSBcXGxlIGkgXFxsZSBOJDogJDFcXGxlIENfaSBcXGxlIFAkPFwvbGk+XHJcblx0PGxpPlRoZXJlIGFyZSBubyAkaSBcXG5lcSBqJCBzdWNoIHRoYXQgJENfaSA9IENfaiQmbmJzcDsodGhhdCBpcywgJEMkIGNvbnRhaW5zIG5vIGR1cGxpY2F0ZXMpPFwvbGk+XHJcblx0PGxpPkZvciBlYWNoICRpJCB3aXRoICQxIFxcbGUgaSBcXGxlIE0kOlxyXG5cdDx1bD5cclxuXHRcdDxsaT4kMSBcXGxlIFhfaSwgWV9pJm5ic3A7XFxsZSBOJCBhbmQgJFhfaSBcXG5lcSBZX2kkPFwvbGk+XHJcblx0PFwvdWw+XHJcblx0PFwvbGk+XHJcblx0PGxpPlRoZXJlIGFyZSBubyAkaSBcXG5lcSBqJCBzdWNoIHRoYXQgJChYX2ksIFlfaSkgPSAoWF9qLCBZX2opJCAodGhhdCBpcywgJFggXFx0aW1lcyBZJCBjb250YWlucyBubyBkdXBsaWNhdGVzKTxcL2xpPlxyXG48XC91bD5cclxuIiwic2FtcGxlX2V4cGxhaW5fMSI6IjxwPkNhc2UgMTogRGlzY3Vzc2VkIGluIHRoZSBwcm9ibGVtIHN0YXRlbWVudC48XC9wPlxyXG5cclxuPHA+Q2FzZSAyOiBUaGUgdHdvIGNvbXB1dGVycyBpbmZlY3QgZWFjaCBvdGhlciBjb250aW51b3VzbHksIGFuZCB0aHVzICRTX2ogPSAyJCBmb3IgYWxsICRqJC48XC9wPlxyXG5cclxuPHA+Q2FzZSAzOiAkUyA9IFszLCAzLCAyLCAyLCAxLCAxLCAxLCAxLCAxLCAxLCAwXSQ8XC9wPlxyXG5cclxuPHA+Q2FzZSA0OiAkU19qID0gNSQgZm9yIGFsbCAkaiQuPFwvcD5cclxuXHJcbjxwPkNhc2VzIDUtODogTm8gZnVydGhlciBleHBsYW5hdGlvbiBwcm92aWRlZC4gPFwvcD5cclxuIn1d