| 시간 제한 | 메모리 제한 | 제출 | 정답 | 맞힌 사람 | 정답 비율 |
|---|---|---|---|---|---|
| 3 초 (추가 시간 없음) | 1024 MB (추가 메모리 없음) | 283 | 134 | 67 | 39.645% |
$N$개의 정점을 가진 완전 이진 트리가 있다. 초기에는 $1$번 정점이 루트이다. $1$번 정점을 제외한 모든 정점에 대해, $x$번 정점은 $\lfloor \frac x2 \rfloor$번 정점을 부모로 가진다.
이 트리에서 다음과 같은 쿼리를 처리해 보자.
1 v: 트리의 루트를 $v$번 정점으로 바꾼다.2 v: 현재 트리에서 $v$번 정점을 루트로 하는 서브트리에 속한 모든 정점 번호의 합을 출력한다.첫 번째 줄에 $N$, $Q$가 공백으로 구분되어 주어진다. ($1 \le N \le 1\,000\,000\,000$; $1 \le Q \le 50\,000$)
이어서 $Q$개의 줄에 걸쳐, 각 쿼리가 주어진다. 2번 쿼리가 최소 하나 이상 주어진다. ($1 \le v \le N$)
2번 쿼리가 입력될 때마다, 쿼리의 답을 한 줄에 하나씩 출력한다.
10 5 2 3 2 5 1 8 2 4 2 1
16 15 47 17
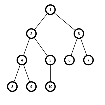
초기에 정점이 $10$개인 완전 이진 트리는 다음과 같다.
루트가 $8$번 정점으로 바뀐 트리는 다음과 같다.
University > 신촌지역 대학생 프로그래밍 대회 동아리 연합 > 2024 신촌지역 대학생 프로그래밍 동아리 연합 여름 대회 (SUAPC 2024 Summer) K번