시간 제한메모리 제한제출정답맞힌 사람정답 비율
1 초 2048 MB13101076.923%

문제

You are currently researching a graph traversal algorithm called the Depth First Search (DFS). Starting with an empty list A, the following pseudocode will fill the list A with the visitation order of a DFS algorithm.

DFS(v):
    append v to A
    for each u neighbour of v in ascending node number:
        if u is not in A:
            DFS(u)

After running DFS(1) from the pseudocode above, you now have a list $A$ containing a permutation of integers from $1$ to $N$. You now wonder how many different simple undirected graphs with $N$ nodes there are that yield the list $A$ that you have. Count the number, modulo $998\,244\,353$.

A graph is simple when there are no self-loops and there is at most one edge connecting each pair of nodes. Two graphs are considered different if there is an edge connecting a pair of nodes in one graph but not the other.

입력

The first line contains an integer $N$ ($2 \le N \le 300$). The second line contains a permutation of the first $N$ positive integers, representing the list $A$. The first element of $A$ is guaranteed to be $1$.

출력

A single integer representing the number of different graphs, whose DFS order gives you the list $A$, modulo $998\,244\,353$.

예제 입력 1

4
1 3 4 2

예제 출력 1

3

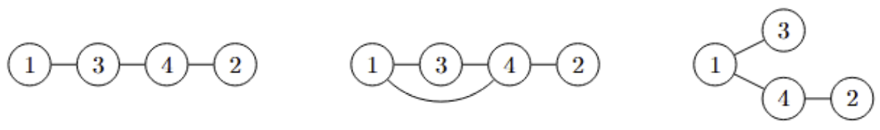
Explanation of Sample 1: The following illustrates all the graphs with the given DFS order.

예제 입력 2

10
1 2 3 4 5 6 7 8 9 10

예제 출력 2

515546413