시간 제한메모리 제한제출정답맞힌 사람정답 비율
7 초 (추가 시간 없음) 2048 MB46241139.286%

문제

Long ago, in the heart of the Xordic countries, there was a brave soldier named Ronni. Ronni was known for their courage and sharp mind, often solving puzzles that baffled even the wisest sages. One day, Ronni was summoned to the ancient forest where a mystical tree stood. This tree was no ordinary tree --- it was entirely invisible, with its nodes and branches hidden from mortal eyes. On each node of the tree sits an ancient spirit, and the degree of each node held the key to understanding the tree's structure.

The kingdom's oracle, known as the Xoracle, was a powerful entity that could only answer one type of query:

"Tell me the bitwise XOR of the degrees of node A and node B".

Armed with this cryptic knowledge, Ronni had to deduce the degree of all $N$ nodes in the tree in order to conquer the ancient spirits, and to reveal the tree's secrets. However, the Xoracle would only answer up to $Q$ queries before sealing its wisdom forever.

Ronni's task is to determine the degrees of all nodes in the invisible tree using the Xoracle's responses. The tree, with $N$ nodes and $N-1$ edges, is connected, meaning there is a path between any pair of nodes. The degree of a node is the number of edges connected to it. By strategically choosing pairs of nodes and interpreting the bitwise XOR of their degrees, Ronni aimed to reconstruct the degrees of all nodes in the tree.

인터랙션

Your program should start by reading a single line with two space separated integers $N$ and $Q$, the number of nodes in the tree, and the maximum number of queries you are allowed to ask the Xoracle. The nodes of the tree are numbered from $1$ up to $N$.

Afterwards, your program can make up to $Q$ queries. To ask a query, your program should output a line of the form

? $i$ $j$

where $1 \leq i, j \leq N$.

The judge will then respond by writing a single number, $x$, on a line, where $x = \deg(i) \oplus \deg(j)$. Here $\deg(x)$ is the degree of the node $x$, and $\oplus$ is defined as the bitwise XOR.

The bitwise XOR of two integers $a$ and $b$ is calculated by looking at the binary representations of $a$ and $b$. The $i$'th bit of the result is $1$, if and only if either the $i$'th bit of $a$ or $b$ is $1$, but not both. It is available as an operator in both C++ and Python as ^.

After your queries, your program must output the degrees of all nodes. This is done by outputting on a new line

! $d_1, d_2, \dots, d_N$

where $d_i$ are the degrees of all $N$ nodes in any order. This is not counted towards the number of queries your program is allowed to make.

To receive an answer for a query, and to submit the degrees at the end, your program should flush the output. This can be done in one of the following ways:

  • C++: std::cout << std::endl;
  • Python: print("", flush=True)

제한

  • $2 \leq N \leq 10^5$.
  • The tree is constructed so that, regardless of which queries are asked, there is exactly one degree sequence consistent with the answers.

서브태스크

번호배점제한
18

The maximum degree of any nodes is 3. There exists at least 1 node of each degree 1, 2, and 3. $N \leq 1000$, $Q = N - 1$.

25

The maximum degree of any nodes is 4. At least 3 of the possible 4 degrees appear in the tree. $N \leq 1000$, $Q = N - 1$.

39

$Q = N^2$, $N \leq 300$.

411

$Q = 45000$, $N \leq 1000$.

524

$Q = N - 1$, $N \leq 1000$.

643

$Q = N - 1$.

예제 입력 1

4 3

0

2

0

예제 출력 1


? 2 4

? 4 1

? 3 3

! 1 3 1 1

예제 입력 2

5 4

3

1

2

3

예제 출력 2


? 1 2

? 1 3

? 2 3

? 1 4

! 3 1 1 1 2

노트

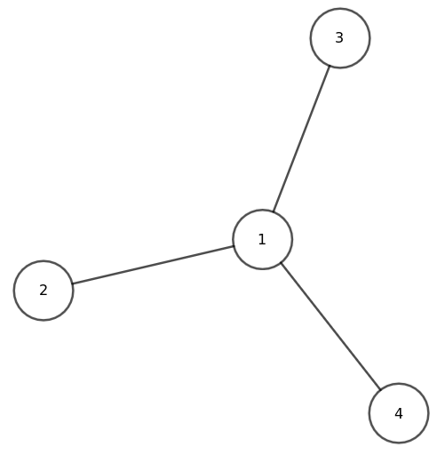
The hidden tree in sample 1 is illustrated below.

Then, the interaction in sample interaction 1 is as follows:

  • First the numbers N and Q are given.
  • Then a query for node 2 and 4 is made, giving the result 0.
  • Then a query for node 4 and 1 is made, giving the result 2.
  • Then a query for node 3 and 3 is made, giving the result 0.
  • At last, the program answers that the degrees of the tree are 1, 3, 1, 1, which is correct.

(Note that the degrees can be given in any order.)

It may or may not be possible to conclude the correct answer using the queries given in the example.

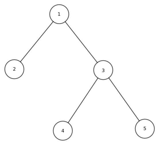
For sample 2, the hidden tree is illustrated below.

It may or may not be possible to conclude the correct answer using the queries in either of the sample interactions.

출처

Olympiad > Nordic Olympiad in Informatics > 2025 C번

  • 문제를 만든 사람: Harry Zhang, Raunak Redkar

채점 및 기타 정보

  • 예제는 채점하지 않는다.