| 시간 제한 | 메모리 제한 | 제출 | 정답 | 맞힌 사람 | 정답 비율 |
|---|---|---|---|---|---|
| 1 초 | 512 MB | 9 | 6 | 6 | 66.667% |
Kaktus graf je povezani neusmjereni graf u kojem svaka dva jednostavna ciklusa imaju najviše jedan zajednički vrh. Podsjetimo se, jednostavan ciklus je ciklus u kojemu se vrhovi ne ponavljaju, a u kaktus grafu se niti jedna dva takva ciklusa ne smiju podudarati na više od jednom vrhu grafa.
Na zadanom kaktus grafu igramo igru tako da u svakom koraku odaberemo jedan brid te ga obrišemo. Brid biramo uniformno slučajno medu svim preostalim bridovima (dakle svaki preostali brid brišemo sa jednakom vjerojatnošću), a svi slučajni izbori su nezavisni. Igra završava kada graf više nije povezan — postoje dva vrha izmedu kojih ne postoji niti jedan put.
Odredite očekivani broj koraka da igra završi.
U prvom redu se nalaze prirodni brojevi n i m (1 ≤ n ≤ 600, 1 ≤ m ≤ n(n − 1)/2) — broj vrhova i broj bridova grafa. Vrhovi grafa su označeni prirodnim brojevima od 1 do n. U svakom od sljedećih m redova nalaze se dva različita prirodna broja a i b (1 ≤ a, b ≤ n) koji označavaju brid izmedu vrhova a i b. Svaka dva vrha će biti povezana najviše jednom bridom, a graf je kaktus graf kako je opisano u tekstu zadatka.
Ispišite traženi očekivani broj koraka. Tolerirat će se apsolutno i relativno odstupanje od službenog rješenja za 10−6.
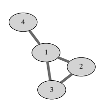
4 4 1 2 2 3 3 1 1 4
1.75
12 14 1 2 2 3 3 1 2 4 4 5 6 5 3 7 7 8 8 9 9 10 10 7 8 11 8 12 11 12
2.17582418
Sample 1: 
Sample 2: 