시간 제한메모리 제한제출정답맞힌 사람정답 비율
1 초 1024 MB72250.000%

문제

В развлекательном центре Е-города был установлен игровой автомат нового поколения. В автомат можно бросить монету и следить за её продвижением сверху вниз по разветвляющемуся лабиринту из трубок. В лабиринте есть $n$ узлов, которые пронумерованы числами от 1 до $n$. При бросании монета попадает в первый узел. Каждый узел лабиринта, кроме первого, имеет одну входящую сверху трубку, по которой монета может в него попасть. Из каждого узла выходит не более двух трубок, идущих вниз, одна из которых ведет налево, а другая --- направо. Каждая трубка имеет некоторую ширину. Монета проваливается в более широкую трубку, а в случае равенства ширины трубок --- в левую.

После прохождения монеты по трубке ширина этой трубки уменьшается на 1. Монета не может пройти по трубке ширины 0. Если монета достигла узла, из которого она не может дальше двигаться вниз, автомат останавливается и ждёт, когда в него бросят следующую монету.

Изначально в каждом узле лабиринта находится по игрушке. Когда монета попадает в узел первый раз, игрушка, находящаяся в этом узле, достаётся игроку, бросившему эту монету.

Панкрату понравилась игрушка, которая находится в узле с номером $v$.

Требуется написать программу, которая определяет, сколько монет должен бросить в автомат Панкрат, чтобы получить игрушку из узла $v$.

입력

В первой строке входного файла задано число $n$ --- количество узлов в лабиринте. В последующих $n$ строках заданы описания всех узлов, в $k$-й из этих строк описан узел с номером $k$.

Описание $k$-го узла состоит из четырех целых чисел: $a_k$, $u_k$, $b_k$, $w_k$. Если из $k$-го узла выходит левая трубка, то $a_k$ --- номер узла, в который она ведет ($k < a_k \leqslant n$), а $u_k$ --- её ширина. Если левой трубки нет, то $a_k = u_k = 0$. Если из $k$-го узла выходит правая трубка, то $b_k$ --- номер узла, в который она ведет ($k < b_k \leqslant n$), а $w_k$ --- её ширина. Если правой трубки нет, то $b_k = w_k = 0$.

В последней строке задано целое число $v$ ($1 \leqslant v \leqslant n$) --- номер узла, в котором находится игрушка, понравившаяся Панкрату. 

Гарантируется, что во все узлы, кроме первого, входит ровно одна трубка.

출력

Выходной файл должен содержать одно число --- количество монет, которое необходимо бросить в автомат Панкрату, чтобы получить игрушку, которая находится в узле $v$. Если получить выбранную игрушку невозможно, выведите число $-1$.

제한

  • $1 \le n \leqslant 10^5$
  • $1 \le u_k, w_k \leqslant 10^9$

예제 입력 1

7
2 1 3 2
0 0 6 3
4 1 5 1
0 0 0 0
7 2 0 0
0 0 0 0
0 0 0 0
5

예제 출력 1

3

예제 입력 2

4
0 0 2 1
4 1 3 1
0 0 0 0
0 0 0 0
3

예제 출력 2

-1

힌트

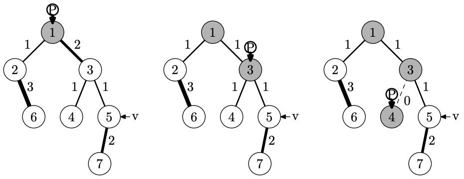
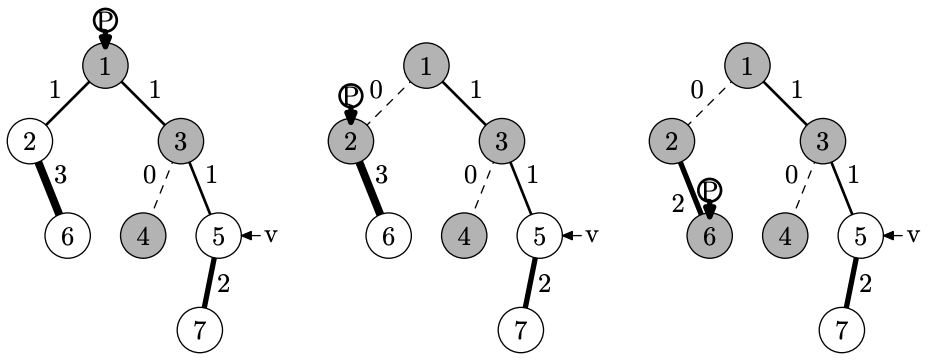
В первом примере первая монета пройдет лабиринт по следующему пути, и игрок получит игрушки из вершин 1, 3 и 4:

Вторая монета пройдет лабиринт по следующему пути, и игрок получит игрушки из вершин 2 и 6:

Третья монета пройдет лабиринт по следующему пути, и игрок получит игрушки из вершин 5 и 7: