| 시간 제한 | 메모리 제한 | 제출 | 정답 | 맞힌 사람 | 정답 비율 |
|---|---|---|---|---|---|
| 9 초 (추가 시간 없음) | 1024 MB | 8 | 1 | 1 | 16.667% |
„A może odkopmy jakieś stare zadanie z ciągiem i każmy je zrobić na drzewie?”
Autor zadania
Dane jest drzewo (nieskierowany graf acykliczny) w którym każda krawędź ma pewną długość. W każdym wierzchołku tego drzewa znajduje się mina o pewnym promieniu rażenia. Jeśli jakaś mina wybuchnie, to wybuchną też miny we wszystkich wierzchołkach odległych o nie więcej niż promień rażenia tejże miny. Odległość między dwoma wierzchołkami definiujemy jako sumę długości krawędzi na ścieżce prostej między nimi. Określ, dla każdej z min, ile min wybuchnie, gdy tę jedną zdetonujemy „ręcznie”. Zwróć uwagę, że dla każdej miny, jej ręczną detonację rozważamy niezależnie od ręcznych detonacji innych min.
W pierwszym wierszu wierszu standardowego wejścia znajduje się jedna liczba całkowita n (1 ≤ n ≤ 100 000), oznaczająca liczbę wierzchołków drzewa (a zarazem liczbę min). Wierzchołki drzewa numerujemy liczbami całkowitymi od 1 do n.
W drugim wierszu znajduje się n liczb całkowitych r1, r2, . . . , rn (0 ≤ ri ≤ 1018), gdzie ri oznacza promień rażenia miny znajdującej się w i-tym wierzchołku.
W kolejnych n−1 wierszach znajdują się po trzy liczby całkowite ai, bi oraz ci (1 ≤ ai, bi ≤ n; 1 ≤ ci ≤ 1012), które oznaczają, że istnieje krawędź długości ci łącząca wierzchołki ai oraz bi.
Gwarantujemy, że wejście zawiera poprawny opis drzewa.
W jedynym wierszu wyjścia powinno znaleźć się n liczb, gdzie i-ta z nich powinna być równa liczbie min, które wybuchną, jeśli ręcznie zdetonujemy minę znajdującą się w i-tym wierzchołku drzewa.
5 8 1 0 4 6 2 4 2 3 1 9 2 5 5 2 1 2
4 1 1 4 2
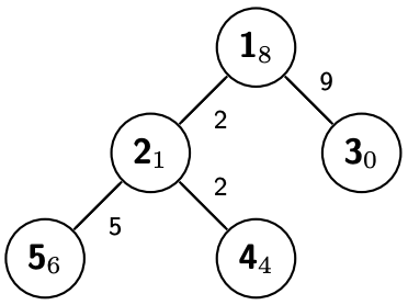
Wyjaśnienie przykładu: Drzewo w teście przykładowym wygląda następująco:
Gdy ręcznie zdetonujemy minę znajdującą się w czwartym wierzchołku, jej wybuch spowoduje detonację min znajdujących się w pierwszym oraz drugim wierzchołku, zaś w efekcie mina znajdująca się w pierwszym wierzchołku spowoduje wybuch miny znajdującej się w piątym wierzchołku. W sumie wybuchną zatem cztery miny.
Contest > Algorithmic Engagements > PA 2022 4-2번