| 시간 제한 | 메모리 제한 | 제출 | 정답 | 맞힌 사람 | 정답 비율 |
|---|---|---|---|---|---|
| 2 초 | 2048 MB | 3 | 3 | 2 | 100.000% |
You are the mayor of a tree-structured city with $N$ districts, numbered from $1$ to $N$, connected by $N - 1$ roads, numbered from $1$ to $N - 1$. Road $i$ connects district $U_i$ and district $V_i$ bidirectionally with weight $W_i$. Two districts $S_1$ and $S_2$ have been marked as mediator districts. The travel cost between district $x$ and district $y$, denoted by $d(x, y)$, is the minimum sum of weights of the roads you need to pass through.
Whenever a conflict arise between any two districts, the mediator districts are required to travel to the conflicting districts. The mediation cost for two conflicting districts $u$ and $v$, denoted by $M(u, v)$, is the maximum travel cost of the mediator districts to the nearest conflicting district. Formally, $M(x, y)$ can be calculated as follows.
\[M(u, v) = \max(\min(d(u, S_1), d(v, S_1)), \min(d(u, S_2), d(v, S_2)))\]
Calculate the sum of mediation cost $M(u, v)$ over all $1 \leq u < v \leq N$.
The first line contains three integers: $N$, $S_1$, and $S_2$ ($2 \le N \le 200\,000$; $1 \leq S_1 < S_2 \leq N$).
The next $N-1$ lines contains integers $U_i$, $V_i$, and $W_i$ ($1 \le U_i < V_i \le N$; $1 \leq W_i \leq 100$) describing an edge.
Output the sum of mediation cost in a single line.
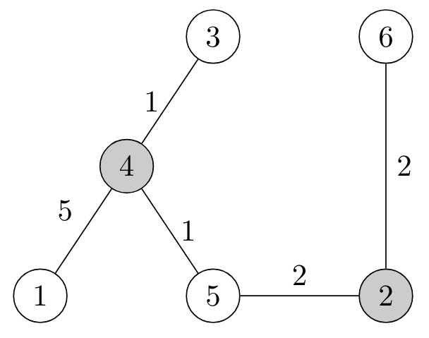
6 2 4 1 4 5 3 4 1 4 5 1 2 5 2 2 6 2
35
Explanation of Sample 1: The city is illustrated as follows.
The values of $M(u, v)$ over all $1 \leq u < v \leq N$ are presented as follows.
| u \ v | 1 | 2 | 3 | 4 | 5 | 6 |
|---|---|---|---|---|---|---|
| 1 | 3 | 4 | 3 | 2 | 5 | |
| 2 | 1 | 0 | 1 | 3 | ||
| 3 | 3 | 2 | 2 | |||
| 4 | 2 | 2 | ||||
| 5 | 2 |
The sum of all $M(u, v)$ is 35.
ICPC > Regionals > Asia Pacific > Indonesia > Indonesia National Contest > INC 2025 J번